Продукты и услуги Информационно-правовое обеспечение ПРАЙМ Документы ленты ПРАЙМ Проект Постановления Правительства Российской Федерации "О внесении изменений в государственную программу Российской Федерации "Развитие физической культуры и спорта" (подготовлен Минспортом России 21.11.2023)

Обзор документа

Проект Постановления Правительства Российской Федерации "О внесении изменений в государственную программу Российской Федерации "Развитие физической культуры и спорта" (подготовлен Минспортом России 21.11.2023)

Досье на проект

Пояснительная записка

Правительство Российской Федерации постановляет:

1. Утвердить прилагаемые изменения, которые вносятся в государственную программу Российской Федерации "Развитие физической культуры и спорта", утвержденную постановлением Правительства Российской Федерации от 30 сентября 2021 г. N 1661 "Об утверждении государственной программы Российской Федерации "Развитие физической культуры и спорта" и о признании утратившими силу некоторых актов и отдельных положений некоторых актов Правительства Российской Федерации" (Собрание законодательства Российской Федерации, 2021, N 41, ст. 6972; 2022, N 1, ст. 148; N 22, ст. 3670; N 34, ст. 5967; N 46, ст. 8023; N 51, ст. 9263; 2023, N 27, ст. 5006).

2. Настоящее постановление вступает в силу с 1 января 2024 г.

Председатель Правительства
Российской Федерации
М. Мишустин

УТВЕРЖДЕНЫ
постановлением Правительства
Российской Федерации
от 2023 г. N

ИЗМЕНЕНИЯ,
которые вносятся в государственную программу Российской Федерации "Развитие физической культуры и спорта"

1. Раздел V дополнить абзацами следующего содержания:

"Правила предоставления и распределения субсидий из федерального бюджета бюджетам Донецкой Народной Республики, Луганской Народной Республики, Запорожской области, Херсонской области в целях софинансирования расходных обязательств, возникающих при оснащении организаций, осуществляющих деятельность в области физической культуры и спорта и (или) в сфере образования, новым спортивным оборудованием и инвентарем, приведены в приложении N 11. Правила предоставления и распределения субсидий из федерального бюджета бюджетам Донецкой Народной Республики, Луганской Народной Республики, Запорожской области, Херсонской области на адресную финансовую поддержку организаций, входящих в систему спортивной подготовки, приведены в приложении N 12.

Правила предоставления и распределения субсидий из федерального бюджета бюджетам Донецкой Народной Республики, Луганской Народной Республики, Запорожской области, Херсонской области в целях софинансирования расходных обязательств, возникающих при обеспечении участия спортивных сборных команд в спортивных мероприятиях, приведены в приложении N 13.

Правила предоставления и распределения субсидий из федерального бюджета бюджетам субъектов Российской Федерации на премирование регионов - победителей Ночной хоккейной лиги приведены в приложении N 14.

Правила предоставления и распределения субсидий из федерального бюджета бюджетам субъектов Российской Федерации на премирование региона - победителя фестиваля культуры и спорта народов Юга России приведены в приложении N 15.".

2. Дополнить приложениями N 11 - 15 следующего содержания:

"ПРИЛОЖЕНИЕ N 11
к государственной программе Российской Федерации
"Развитие физической культуры и спорта"

ПРАВИЛА
предоставления и распределения субсидий из федерального бюджета бюджетам Донецкой Народной Республики, Луганской Народной Республики, Запорожской области, Херсонской области в целях софинансирования расходных обязательств, возникающих при оснащении организаций, осуществляющих деятельность в области физической культуры и спорта и (или) в сфере образования, новым спортивным оборудованием и инвентарем

1. Настоящие Правила устанавливают цели, условия и порядок предоставления субсидий из федерального бюджета бюджетам Донецкой Народной Республики, Луганской Народной Республики, Запорожской области, Херсонской области в целях софинансирования расходных обязательств указанных субъектов Российской Федерации, возникающих при оснащении организаций, осуществляющих деятельность в области физической культуры и спорта и (или) в сфере образования, новым спортивным оборудованием и инвентарем, в рамках федерального проекта "Развитие спорта высших достижений" государственной программы Российской Федерации "Развитие физической культуры и спорта" (далее соответственно - субъекты Российской Федерации, спортивные и образовательные организации, субсидии).

2. Субсидии предоставляются в пределах лимитов бюджетных обязательств, доведенных в установленном порядке до Министерства спорта Российской Федерации как получателя средств федерального бюджета на предоставление субсидии на цели, предусмотренные пунктом 1 настоящих Правил.

3. Условиями предоставления субсидий являются:

а) наличие правового акта субъекта Российской Федерации, утверждающего перечень мероприятий (результатов), при реализации которых возникают расходные обязательства субъекта Российской Федерации, в целях софинансирования которых предоставляется субсидия; б) наличие в бюджете субъекта Российской Федерации бюджетных ассигнований на исполнение расходного обязательства субъекта Российской Федерации, софинансирование которого осуществляется

из федерального бюджета, в объеме, необходимом для его исполнения;

в) заключение между Министерством спорта Российской Федерации и высшим исполнительным органом субъекта Российской Федерации соглашения о предоставлении субсидии из федерального бюджета бюджету субъекта Российской Федерации в соответствии с пунктом 10 Правил формирования, предоставления и распределения субсидий из федерального бюджета бюджетам субъектов Российской Федерации, утвержденных постановлением Правительства Российской Федерации от 30 сентября 2014 г. N 999 "О формировании, предоставлении и распределении субсидий из федерального бюджета бюджетам субъектов Российской Федерации" (далее соответственно - соглашение, Правила формирования, предоставления и распределения субсидий).

4. Критериями отбора субъектов Российской Федерации для предоставления субсидии являются:

а) наличие на территории субъекта Российской Федерации спортивных и образовательных организаций;

б) потребность субъекта Российской Федерации в осуществлении мероприятия, направленного на оснащение спортивных и образовательных организаций новым спортивным оборудованием и инвентарем.

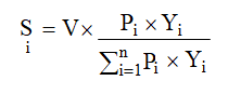
5. Размер субсидии, предоставляемой бюджету i-го субъекта Российской Федерации (Si), определяется по формуле:

где:

V - общий объем бюджетных ассигнований, предусмотренных на предоставление субсидии на соответствующий финансовый год;

Pi - объем потребности в финансовом обеспечении соответствующего мероприятия, необходимого для исполнения расходных обязательств субъекта Российской Федерации, в целях софинансирования которых предоставляется субсидия, определяется как сумма расходов на каждую единицу спортивного оборудования и инвентаря, заявленную i-м субъектом Российской Федерации;

Yi - предельный уровень софинансирования расходного обязательства i-го субъекта Российской Федерации из федерального бюджета, установленный Правительством Российской Федерации на соответствующий финансовый год в соответствии с пунктом 13 Правил формирования, предоставления и распределения субсидий;

n - общее количество субъектов Российской Федерации, имеющих потребность в оснащении спортивных и образовательных организаций новым спортивным оборудованием и инвентарем.

6. В целях заключения соглашения высший исполнительный орган субъекта Российской Федерации представляет в Министерство спорта Российской Федерации заявку в произвольной форме с приложением:

а) информации о потребности субъекта Российской Федерации в осуществлении мероприятия, направленного на оснащение спортивных и образовательных организаций новым спортивным оборудованием и инвентарем;

б) перечня спортивного оборудования и инвентаря, необходимого для оснащения спортивных и образовательных организаций.

7. Предоставление субсидии из федерального бюджета осуществляется на основании соглашения, подготавливаемого (формируемого) и заключаемого с использованием государственной интегрированной информационной системы управления общественными финансами "Электронный бюджет" (далее - ГИИС "Электронный бюджет") в соответствии с типовой формой, утвержденной Министерством финансов Российской Федерации.

8. Объем бюджетных ассигнований, предусмотренных в бюджете субъекта Российской Федерации на исполнение расходного обязательства субъекта Российской Федерации, в целях софинансирования которого предоставляется субсидия, может быть увеличен в одностороннем порядке субъектом Российской Федерации, что не влечет обязательств по увеличению размера субсидии.

9. Перечисление субсидий осуществляется в установленном порядке на единые счета бюджетов, открытые финансовым органам субъектов Российской Федерации в территориальных органах Федерального казначейства.

10. Уполномоченный высшим исполнительным органом субъекта Российской Федерации исполнительный орган субъекта Российской Федерации размещает в ГИИС "Электронный бюджет" отчет о расходах бюджета субъекта Российской Федерации, отчет о достижении значения результата использования субсидии в сроки, установленные соглашением.

11. Оценка эффективности использования субсидии осуществляется Министерством спорта Российской Федерации путем сравнения фактически достигнутого значения результата использования субсидии и установленного соглашением планового значения результата использования субсидии.

12. Результатом использования субсидии является количество спортивных и образовательных организаций, оснащенных необходимым спортивным оборудованием и инвентарем.

Значение результата использования субсидии устанавливается в соглашении.

13. Порядок и условия возврата средств из бюджета субъекта Российской Федерации в федеральный бюджет в случае нарушения субъектом Российской Федерации обязательств, предусмотренных соглашением, а также основания для освобождения субъекта Российской Федерации от применения мер финансовой ответственности установлены пунктами 16 - 18 и 20 Правил формирования, предоставления и распределения субсидий.

14. В случае нарушения субъектом Российской Федерации цели предоставления субсидии, установленной пунктом 1 настоящих Правил, применяются бюджетные меры принуждения, предусмотренные бюджетным законодательством Российской Федерации.

15. Ответственность за достоверность представляемых в Министерство спорта Российской Федерации информации и документов, предусмотренных настоящими Правилами, возлагается на высший исполнительный орган субъекта Российской Федерации.

16. Контроль за соблюдением субъектом Российской Федерации условий предоставления субсидии осуществляется Министерством спорта Российской Федерации и уполномоченными органами государственного финансового контроля.

ПРИЛОЖЕНИЕ N 12
к государственной программе Российской Федерации
"Развитие физической культуры и спорта"

ПРАВИЛА
предоставления и распределения субсидий из федерального бюджета бюджетам Донецкой Народной Республики, Луганской Народной Республики, Запорожской области, Херсонской области на адресную финансовую поддержку организаций, входящих в систему спортивной подготовки

1. Настоящие Правила устанавливают цели, условия и порядок предоставления и распределения субсидий из федерального бюджета бюджетам Донецкой Народной Республики, Луганской Народной Республики, Запорожской области, Херсонской области в целях софинансирования расходных обязательств указанных субъектов Российской Федерации, возникающих в связи с предоставлением адресной финансовой поддержки организациям, входящим в систему спортивной подготовки, на реализацию спортивной подготовки в соответствии с федеральными стандартами спортивной подготовки (далее соответственно - субъекты Российской Федерации, субсидии) в рамках федерального проекта "Развитие спорта высших достижений" государственной программы Российской Федерации "Развитие физической культуры и спорта".

2. Субсидии предоставляются в пределах лимитов бюджетных обязательств, доведенных в установленном порядке до Министерства спорта Российской Федерации как получателя средств федерального бюджета на предоставление субсидии на цели, предусмотренные пунктом 1 настоящих Правил.

3. Условиями предоставления субсидий являются:

а) наличие правового акта субъекта Российской Федерации, утверждающего перечень мероприятий (результатов), при реализации которых возникают расходные обязательства субъекта Российской Федерации, в целях софинансирования которых предоставляется субсидия;

б) наличие в бюджете субъекта Российской Федерации бюджетных ассигнований на исполнение расходного обязательства субъекта Российской Федерации, софинансирование которого осуществляется из федерального бюджета в объеме, необходимом для его исполнения;

в) заключение между Министерством спорта Российской Федерации и высшим исполнительным органом субъекта Российской Федерации соглашения о предоставлении субсидии из федерального бюджета бюджету субъекта Российской Федерации в соответствии с пунктом 10 Правил формирования, предоставления и распределения субсидий из федерального бюджета бюджетам субъектов Российской Федерации, утвержденных постановлением Правительства Российской Федерации от 30 сентября 2014 г. N 999 "О формировании, предоставлении и распределении субсидий из федерального бюджета бюджетам субъектов Российской Федерации" (далее соответственно - соглашение, Правила формирования, предоставления и распределения субсидий).

4. Критерием отбора субъектов Российской Федерации для предоставления субсидии является наличие на территории субъекта Российской Федерации организаций, входящих в систему спортивной подготовки.

5. Размер субсидии, предоставляемой бюджету i-го субъекта Российской Федерации (Si), определяется по формуле:

Афб - общий объем бюджетных ассигнований, предусмотренных на предоставление субсидии в федеральном бюджете на соответствующий финансовый год;

Fi - количество организаций, входящих в систему спортивной подготовки, i-го субъекта Российской Федерации;

Yi - предельный уровень софинансирования расходного обязательства i-го субъекта Российской Федерации из федерального бюджета, установленный Правительством Российской Федерации на соответствующий финансовый год в соответствии с пунктом 13 Правил формирования, предоставления и распределения субсидий;

Количество организаций, входящих в систему спортивной подготовки, i-го субъекта Российской Федерации, определяется по данным федерального статистического наблюдения N 5-ФК "Сведения по подготовке спортивного резерва" за отчетный год, относящимся к ведомственной принадлежности органов управления в сфере физической культуры и спорта. При этом размер субсидии, предоставляемой бюджетам субъектов Российской Федерации, на 2024 год, определяется по данным, представленным исполнительными органами субъектов Российской Федерации в сфере физической культуры и спорта в Министерство спорта Российской Федерации.

6. Предоставление субсидии из федерального бюджета осуществляется на основании соглашения, подготавливаемого (формируемого) и заключаемого с использованием государственной интегрированной информационной системы управления общественными финансами "Электронный бюджет" (далее - ГИИС "Электронный бюджет") в соответствии с типовой формой, утвержденной Министерством финансов Российской Федерации.

7. Объем бюджетных ассигнований, предусмотренных в бюджете субъекта Российской Федерации на исполнение расходного обязательства субъекта Российской Федерации, в целях софинансирования которого предоставляется субсидия, может быть увеличен в одностороннем порядке субъектом Российской Федерации, что не влечет обязательств по увеличению размера субсидии.

8. Перечисление субсидий осуществляется в установленном порядке на единые счета бюджетов, открытые финансовым органам субъектов Российской Федерации в территориальных органах Федерального казначейства.

9. Уполномоченный высшим исполнительным органом субъекта Российской Федерации исполнительный орган субъекта Российской Федерации размещает в ГИИС "Электронный бюджет" отчет о расходах бюджета субъекта Российской Федерации, отчет о достижении значения результата использования субсидии в сроки, установленные соглашением.

10. Оценка эффективности использования субсидии осуществляется Министерством спорта Российской Федерации путем сравнения фактически достигнутого значения результата использования субсидии и установленного соглашением планового значения результата использования субсидии.

11. Результатом использования субсидии является количество организаций, входящих в систему спортивной подготовки, которым оказана финансовая поддержка на реализацию мероприятий по спортивной подготовке в соответствии с федеральными стандартами спортивной подготовки.

Значение результата использования субсидии устанавливается в соглашении.

12. Порядок и условия возврата средств из бюджета субъекта Российской Федерации в федеральный бюджет в случае нарушения субъектом Российской Федерации обязательств, предусмотренных соглашением, а также основания для освобождения субъекта Российской Федерации от применения мер финансовой ответственности установлены пунктами 16 - 18 и 20 Правил формирования, предоставления и распределения субсидий.

13. В случае нарушения субъектом Российской Федерации цели предоставления субсидии, установленной пунктом 1 настоящих Правил, применяются бюджетные меры принуждения, предусмотренные бюджетным законодательством Российской Федерации.

14. Ответственность за достоверность представляемых в Министерство спорта Российской Федерации информации и документов, предусмотренных настоящими Правилами, возлагается на высший исполнительный орган субъекта Российской Федерации.

15. Контроль за соблюдением субъектом Российской Федерации условий предоставления субсидии осуществляется Министерством спорта Российской Федерации и уполномоченными органами государственного финансового контроля.

ПРИЛОЖЕНИЕ N 13
к государственной программе Российской Федерации
"Развитие физической культуры и спорта"

ПРАВИЛА
предоставления и распределения субсидий из федерального бюджета бюджетам Донецкой Народной Республики, Луганской Народной Республики, Запорожской области, Херсонской области в целях софинансирования расходных обязательств, возникающих при обеспечении участия спортивных сборных команд в спортивных мероприятиях

1. Настоящие Правила устанавливают цели, условия и порядок предоставления субсидий из федерального бюджета бюджетам Донецкой Народной Республики, Луганской Народной Республики, Запорожской области, Херсонской области в целях софинансирования расходных обязательств указанных субъектов Российской Федерации, возникающих при обеспечении участия спортивных сборных команд в спортивных мероприятиях, в рамках федерального проекта "Развитие спорта высших достижений" государственной программы Российской Федерации "Развитие физической культуры и спорта" (далее соответственно - субъекты Российской Федерации, спортивные сборные команды субъектов Российской Федерации, субсидии).

2. Субсидии предоставляются в пределах лимитов бюджетных обязательств, доведенных в установленном порядке до Министерства спорта Российской Федерации как получателя средств федерального бюджета на предоставление субсидии на цели, предусмотренные пунктом 1 настоящих Правил, связанные:

а) с проездом спортсменов, тренеров, тренеров-преподавателей и иных специалистов в области физической культуры и спорта, включенных в составы спортивных сборных команд субъекта Российской Федерации, до мест проведения спортивных мероприятий и обратно;

б) с проживанием и питанием спортсменов, тренеров, тренеров- преподавателей и иных специалистов в области физической культуры и спорта, включенных в составы спортивных сборных команд субъекта Российской Федерации, в период участия в спортивных мероприятиях.

3. Условиями предоставления субсидий являются:

а) наличие правового акта субъекта Российской Федерации, утверждающего перечень мероприятий (результатов), при реализации которых возникают расходные обязательства субъекта Российской Федерации, в целях софинансирования которых предоставляется субсидия; б) наличие в бюджете субъекта Российской Федерации бюджетных ассигнований на исполнение расходного обязательства субъекта Российской Федерации, софинансирование которого осуществляется

из федерального бюджета, в объеме, необходимом для его исполнения;

в) заключение между Министерством спорта Российской Федерации и высшим исполнительным органом субъекта Российской Федерации соглашения о предоставлении субсидии из федерального бюджета бюджету субъекта Российской Федерации в соответствии с пунктом 10 Правил формирования, предоставления и распределения субсидий из федерального бюджета бюджетам субъектов Российской Федерации, утвержденных постановлением Правительства Российской Федерации от 30 сентября 2014 г. N 999 "О формировании, предоставлении и распределении субсидий из федерального бюджета бюджетам субъектов Российской Федерации" (далее соответственно - соглашение, Правила формирования, предоставления и распределения субсидий).

4. Критериями отбора субъектов Российской Федерации для предоставления субсидии являются:

а) наличие утвержденных списочных составов спортивных сборных команд субъекта Российской Федерации по видам спорта;

б) включение спортивных мероприятий, в которых планируется участие спортивных сборных команд субъекта Российской Федерации, в Единый календарный план межрегиональных, всероссийских и международных физкультурных мероприятий и спортивных мероприятий, утверждаемый федеральным органом исполнительной власти в области физической культуры и спорта.

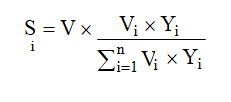
5. Размер субсидии, предоставляемой бюджету i-го субъекта Российской Федерации (Si), определяется по формуле:

где:

V - общий объем бюджетных ассигнований, предусмотренных на предоставление субсидии на соответствующий финансовый год;

Vi - объем потребности в финансовом обеспечении, необходимый для обеспечения участия спортивных сборных команд i-го субъекта Российской Федерации в спортивных мероприятиях;

Yi - предельный уровень софинансирования расходного обязательства i-го субъекта Российской Федерации из федерального бюджета, установленный Правительством Российской Федерации на соответствующий финансовый год в соответствии с пунктом 13 Правил формирования, предоставления и распределения субсидий;

n - общее количество субъектов Российской Федерации, имеющих потребность в обеспечении участия спортивных сборных команд субъекта Российской Федерации в спортивных мероприятиях.

6. Объем потребности в финансовом обеспечении, необходимый для обеспечения участия спортивных сборных команд i-го субъекта Российской Федерации в спортивных мероприятиях (Vi), определяется по формуле:

Vi = Vпроживание + Vпроезд ,

где:

V проживание - общий объем финансовой потребности, необходимый для обеспечения проживания и питания спортивных сборных команд i-го субъекта Российской Федерации по видам спорта в период участия в спортивных мероприятиях;

V проезд - общий объем финансовой потребности, необходимый для обеспечения проезда спортивных сборных команд i-го субъекта Российской Федерации по видам спорта до мест проведения спортивных мероприятий и обратно.

7. Общий объем финансовой потребности, необходимый для обеспечения проживания и питания спортивных сборных команд i-го субъекта Российской Федерации по видам спорта в период участия в спортивных мероприятиях (V проживание), определяется по формуле:

Vпроживание = Kвс ? Kсм ? Kчеловек ? Kод.дня ? Kдней ,

где:

K вс - количество видов спорта, по которым утверждены списочные составы спортивных сборных команд i-го субъекта Российской Федерации, принимающие участие в спортивных мероприятиях;

К см - количество спортивных мероприятий, в которых принимают участие спортивные сборные команды i-го субъекта Российской Федерации по видам спорта;

K человек - количество спортсменов, тренеров, тренеров- преподавателей и иных специалистов в области физической культуры и спорта, включенных в списочные составы спортивных сборных команд i-го субъекта Российской Федерации по видам спорта, принимающие участие в спортивных мероприятиях;

К од.дня - стоимость одного дня проживания и питания спортивных сборных команд i-го субъекта Российской Федерации по видам спорта;

К дней - количество дней участия спортивных сборных команд i-го субъекта Российской Федерации по видам спорта в спортивных мероприятиях.

8. Общий объем финансовой потребности, необходимый для обеспечения проезда спортивных сборных команд i-го субъекта Российской Федерации по видам спорта до мест проведения спортивных мероприятий и обратно (V проезд), определяется по формуле:

Vпроезд = Kвс ? Kсм ? Kчеловек ? Kод.проезд ,

где:

K вс - количество видов спорта, по которым утверждены списочные составы спортивных сборных команд i-го субъекта Российской Федерации, принимающие участие в спортивных мероприятиях;

К см - количество спортивных мероприятий, в которых принимают участие спортивные сборные команды i-го субъекта Российской Федерации по видам спорта;

K человек - количество спортсменов, тренеров, тренеров- преподавателей и иных специалистов в области физической культуры и спорта, включенных в списочный состав спортивных сборных команд i-го субъекта Российской Федерации по видам спорта, принимающие участие в спортивных мероприятиях;

К од.проезд - стоимость потребности обеспечения проезда спортивных сборных команд i-го субъекта Российской Федерации по видам спорта до мест проведения спортивных мероприятий и обратно.

9. В целях заключения соглашения высший исполнительный орган субъекта Российской Федерации представляет в Министерство спорта Российской Федерации заявку в произвольной форме с приложением:

а) утвержденного списочного состава спортивных сборных команд субъекта Российской Федерации по видам спорта;

б) перечень спортивных мероприятий, в которых планируют принимать участие спортивные сборные команды субъекта Российской Федерации по видам спорта.

10. Предоставление субсидии из федерального бюджета осуществляется на основании соглашения, подготавливаемого (формируемого) и заключаемого с использованием государственной интегрированной информационной системы управления общественными финансами "Электронный бюджет" (далее - ГИИС "Электронный бюджет") в соответствии с типовой формой, утвержденной Министерством финансов Российской Федерации.

11. Объем бюджетных ассигнований, предусмотренных в бюджете субъекта Российской Федерации на исполнение расходного обязательства субъекта Российской Федерации, в целях софинансирования которого предоставляется субсидия, может быть увеличен в одностороннем порядке субъектом Российской Федерации, что не влечет обязательств по увеличению размера субсидии.

12. Перечисление субсидий осуществляется в установленном порядке на единые счета бюджетов, открытые финансовым органам субъектов Российской Федерации в территориальных органах Федерального казначейства.

13. Уполномоченный высшим исполнительным органом субъекта Российской Федерации исполнительный орган субъекта Российской Федерации размещает в ГИИС "Электронный бюджет" отчет о расходах бюджета субъекта Российской Федерации, отчет о достижении значения результата использования субсидии в сроки, установленные соглашением.

14. Оценка эффективности использования субсидии осуществляется Министерством спорта Российской Федерации путем сравнения фактически достигнутого значения результата использования субсидии и установленного соглашением планового значения результата использования субсидии.

15. Результатом использования субсидии является количество спортсменов, тренеров, тренеров-преподавателей и иных специалистов в области физической культуры и спорта, включенных в составы спортивных сборных команд субъекта Российской Федерации по видам спорта, принявших участие в спортивных мероприятиях.

Значение результата использования субсидии устанавливается в соглашении.

16. Порядок и условия возврата средств из бюджета субъекта Российской Федерации в федеральный бюджет в случае нарушения субъектом Российской Федерации обязательств, предусмотренных соглашением, а также основания для освобождения субъекта Российской Федерации от применения мер финансовой ответственности установлены пунктами 16 - 18 и 20 Правил формирования, предоставления и распределения субсидий.

17. В случае нарушения субъектом Российской Федерации цели предоставления субсидии, установленной пунктом 1 настоящих Правил, применяются бюджетные меры принуждения, предусмотренные бюджетным законодательством Российской Федерации.

18. Ответственность за достоверность представляемых в Министерство спорта Российской Федерации информации и документов, предусмотренных настоящими Правилами, возлагается на высший исполнительный орган субъекта Российской Федерации.

19. Контроль за соблюдением субъектом Российской Федерации условий предоставления субсидии осуществляется Министерством спорта Российской Федерации и уполномоченными органами государственного финансового контроля.

ПРИЛОЖЕНИЕ N 14
к государственной программе Российской Федерации
"Развитие физической культуры и спорта"

ПРАВИЛА
предоставления и распределения субсидий из федерального бюджета бюджетам субъектов Российской Федерации на премирование регионов - победителей Ночной хоккейной лиги

1. Настоящие Правила устанавливают цели, условия и порядок предоставления, распределения субсидий из федерального бюджета бюджетам субъектов Российской Федерации в целях софинансирования расходных обязательств субъектов Российской Федерации, возникающих при приобретении оборудования для спортивных сооружений и (или) капитального ремонта объектов спорта в субъекте Российской Федерации, спортивная команда которого стала победителем Ночной хоккейной лиги в рамках премирования региона - победителя Всероссийского фестиваля по хоккею среди любительских команд Ночной хоккейной лиги (далее соответственно - Ночная хоккейная лига, субсидия).

2. Субсидия предоставляется бюджету субъекта Российской Федерации в пределах лимитов бюджетных обязательств, доведенных в установленном порядке до Министерства спорта Российской Федерации как получателя средств федерального бюджета на предоставление субсидии на цели, предусмотренные пунктом 1 настоящих Правил.

3. Критерием отбора субъекта Российской Федерации для предоставления субсидии является занятое первое место спортивной командой субъекта Российской Федерации в соревнованиях Ночной хоккейной лиги в дивизионе "Лига чемпионов 40+" в соответствии с протоколом соревнований, утвержденным главной судейской коллегией Ночной хоккейной лиги и Фондом развития любительского хоккея "Ночная хоккейная лига".

4. Размер субсидии, предоставляемой бюджету субъекта Российской Федерации (Si), определяется по формуле:

где:

Vi - объем потребности в финансовом обеспечении соответствующего мероприятия, необходимого для исполнения расходных обязательств субъекта Российской Федерации, в целях софинансирования которых предоставляется субсидия;

Yi - предельный уровень софинансирования расходного обязательства i-го субъекта Российской Федерации из федерального бюджета, установленный Правительством Российской Федерации на соответствующий финансовый год.

5. Условиями предоставления субсидии являются:

а) наличие правового акта субъекта Российской Федерации, утверждающего перечень мероприятий (результатов), при реализации которых возникают расходные обязательства субъекта Российской Федерации, в целях софинансирования которых предоставляется субсидия; б) наличие в бюджете субъекта Российской Федерации бюджетных ассигнований на исполнение расходного обязательства субъекта Российской Федерации, софинансирование которого осуществляется

из федерального бюджета, в объеме, необходимом для его исполнения;

в) заключение между Министерством спорта Российской Федерации и высшим должностным лицом субъекта Российской Федерации соглашения о предоставлении субсидии из федерального бюджета бюджету субъекта Российской Федерации (далее - соглашение) в соответствии с пунктом 10 Правил формирования, предоставления и распределения субсидий из федерального бюджета бюджетам субъектов Российской Федерации, утвержденных постановлением Правительства Российской Федерации от 30 сентября 2014 г. N 999 "О формировании, предоставлении и распределении субсидий из федерального бюджета бюджетам субъектов Российской Федерации" (далее - Правила формирования, предоставления и распределения субсидий).

6. Предоставление субсидии бюджету субъекта Российской Федерации из федерального бюджета осуществляется на основании соглашения, заключенного с использованием государственной интегрированной информационной системы управления общественными финансами "Электронный бюджет" в соответствии с типовой формой, утвержденной Министерством финансов Российской Федерации.

7. Объем бюджетных ассигнований, предусмотренных в бюджете субъекта Российской Федерации на исполнение расходного обязательства субъекта Российской Федерации, в целях софинансирования которого предоставляется субсидия, может быть увеличен в одностороннем порядке субъектом Российской Федерации, что не влечет обязательств по увеличению размера субсидии.

8. Перечисление субсидии осуществляется в установленном порядке на единый счет бюджета, открытый финансовому органу субъекта Российской Федерации в территориальном органе Федерального казначейства.

9. Исполнительный орган субъекта Российской Федерации, уполномоченный высшим должностным лицом субъекта Российской Федерации, направляет в Министерство спорта Российской Федерации отчет о достижении значений результата использования субсидии и об осуществлении расходов бюджета субъекта Российской Федерации, в целях софинансирования которых предоставляется субсидия, в соответствии с порядком и сроками, установленными соглашением.

Уполномоченный высшим исполнительным органом субъекта Российской Федерации исполнительный орган субъекта Российской Федерации размещает в государственной интегрированной информационной системе управления общественными финансами "Электронный бюджет" отчет о расходах бюджета субъекта Российской Федерации, отчет о достижении значения результата использования субсидии в сроки, установленные соглашением.

10. Оценка эффективности использования субсидии осуществляется Министерством спорта Российской Федерации путем сравнения фактически достигнутых значений результата использования субсидии и установленных соглашением плановых значений результата использования субсидии.

11. Результатом использования субсидии является улучшение материально-технической базы объектов спорта в субъектах Российской Федерации - победителях Всероссийского фестиваля по хоккею среди любительских команд в дивизионе "Лига чемпионов 40+". Значения результата использования субсидии устанавливаются в соглашении.

12. Порядок и условия возврата средств из бюджета субъекта Российской Федерации в федеральный бюджет в случае нарушения субъектом Российской Федерации обязательства субъекта Российской Федерации по достижению результатов использования субсидий, предусмотренных соглашением, а также основания для освобождения субъекта Российской Федерации от применения мер финансовой ответственности установлены пунктами 16 - 18 и 20 Правил формирования, предоставления и распределения субсидий.

13. В случае нарушения субъектом Российской Федерации цели предоставления субсидии, установленной пунктом 1 настоящих Правил, применяются бюджетные меры принуждения, предусмотренные бюджетным законодательством Российской Федерации.

14. Ответственность за достоверность представляемых в Министерство спорта Российской Федерации информации и документов, предусмотренных настоящими Правилами, возлагается на высшее должностное лицо субъекта Российской Федерации.

15. Контроль за соблюдением субъектом Российской Федерации условий предоставления субсидии осуществляется Министерством спорта Российской Федерации и уполномоченными органами государственного финансового контроля.

ПРИЛОЖЕНИЕ N 15
к государственной программе Российской Федерации
"Развитие физической культуры и спорта"

ПРАВИЛА
предоставления и распределения субсидий из федерального бюджета бюджетам субъектов Российской Федерации на премирование региона - победителя фестиваля культуры и спорта народов Юга России

1. Настоящие Правила устанавливают цели, условия и порядок предоставления и распределения субсидий из федерального бюджета бюджетам субъектов Российской Федерации в целях софинансирования расходных обязательств субъектов Российской Федерации, входящих в состав Южного федерального округа или Северо-Кавказского федерального округа, возникающих при закупке оборудования для спортивных сооружений и (или) капитального ремонта объектов спорта в субъекте Российской Федерации, спортивная команда которого стала победителем в спортивной программе фестиваля, в рамках премирования региона - победителя фестиваля культуры и спорта народов Юга России (далее соответственно - фестиваль, субсидия).

2. Субсидия предоставляется бюджету субъекта Российской Федерации в пределах лимитов бюджетных обязательств, доведенных в установленном порядке до Министерства спорта Российской Федерации как получателя средств федерального бюджета на предоставление субсидии на цели, предусмотренные пунктом 1 настоящих Правил.

3. Критерием отбора субъекта Российской Федерации для предоставления субсидии является занятое первое место спортивной командой субъекта Российской Федерации в спортивной программе фестиваля в общекомандном зачете в соответствии с протоколом соревнований, утвержденным главной судейской коллегией фестиваля.

4. Размер субсидии, предоставляемой бюджету субъекта Российской Федерации (Si), определяется по формуле:

где:

Vi - объем потребности в финансовом обеспечении соответствующего мероприятия, необходимого для исполнения расходных обязательств субъекта Российской Федерации, в целях софинансирования которых предоставляется субсидия;

Yi - предельный уровень софинансирования расходного обязательства i-го субъекта Российской Федерации из федерального бюджета, установленный Правительством Российской Федерации на соответствующий финансовый год.

5. Условиями предоставления субсидии являются:

а) наличие правового акта субъекта Российской Федерации, утверждающего перечень мероприятий (результатов), при реализации которых возникают расходные обязательства субъекта Российской Федерации, в целях софинансирования которых предоставляется субсидия; б) наличие в бюджете субъекта Российской Федерации бюджетных ассигнований на исполнение расходного обязательства субъекта Российской Федерации, софинансирование которого осуществляется

из федерального бюджета, в объеме, необходимом для его исполнения;

в) заключение между Министерством спорта Российской Федерации и высшим должностным лицом субъекта Российской Федерации соглашения о предоставлении субсидии из федерального бюджета бюджету субъекта Российской Федерации (далее - соглашение) в соответствии с пунктом 10 Правил формирования, предоставления и распределения субсидий из федерального бюджета бюджетам субъектов Российской Федерации, утвержденных постановлением Правительства Российской Федерации от 30 сентября 2014 г. N 999 "О формировании, предоставлении и распределении субсидий из федерального бюджета бюджетам субъектов Российской Федерации" (далее - Правила формирования, предоставления и распределения субсидий).

6. Предоставление субсидии бюджету субъекта Российской Федерации из федерального бюджета осуществляется на основании соглашения, заключенного с использованием государственной интегрированной информационной системы управления общественными финансами "Электронный бюджет" в соответствии с типовой формой, утвержденной Министерством финансов Российской Федерации.

7. Объем бюджетных ассигнований, предусмотренных в бюджете субъекта Российской Федерации на исполнение расходного обязательства субъекта Российской Федерации, в целях софинансирования которого предоставляется субсидия, может быть увеличен в одностороннем порядке субъектом Российской Федерации, что не влечет обязательств по увеличению размера субсидии.

8. Перечисление субсидии осуществляется в установленном порядке на единый счет бюджета, открытый финансовому органу субъекта Российской Федерации в территориальном органе Федерального казначейства.

9. Уполномоченный высшим исполнительным органом субъекта Российской Федерации исполнительный орган субъекта Российской Федерации размещает в государственной интегрированной информационной системе управления общественными финансами "Электронный бюджет" отчет о расходах бюджета субъекта Российской Федерации, отчет о достижении значения результата использования субсидии в сроки, установленные соглашением.

10. Оценка эффективности использования субсидии осуществляется Министерством спорта Российской Федерации путем сравнения фактически достигнутых значений результата использования субсидии и установленных соглашением плановых значений результата использования субсидии.

11. Результатом использования субсидии является реализация мероприятий по улучшению материально-технической базы объектов спорта в субъектах Российской Федерации - победителях фестиваля культуры и спорта народов Юга России. Значения результата использования субсидии устанавливаются в соглашении.

12. Порядок и условия возврата средств из бюджета субъекта Российской Федерации в федеральный бюджет в случае нарушения субъектом Российской Федерации обязательства субъекта Российской Федерации по достижению результатов использования субсидий, предусмотренных соглашением, а также основания для освобождения субъекта Российской Федерации от применения мер финансовой ответственности установлены пунктами 16 - 18 и 20 Правил формирования, предоставления и распределения субсидий.

13. В случае нарушения субъектом Российской Федерации цели предоставления субсидии, установленной пунктом 1 настоящих Правил, применяются бюджетные меры принуждения, предусмотренные бюджетным законодательством Российской Федерации.

14. Ответственность за достоверность представляемых в Министерство спорта Российской Федерации информации и документов, предусмотренных настоящими Правилами, возлагается на высшее должностное лицо субъекта Российской Федерации.

15. Контроль за соблюдением субъектом Российской Федерации условий предоставления субсидии осуществляется Министерством спорта Российской Федерации и уполномоченными органами государственного финансового контроля.".

Обзор документа


Новые регионы смогут получить субсидии на оснащение спортивных и образовательных организаций новым спортивным оборудованием и инвентарем, на адресную финансовую поддержку организаций спортивной подготовки, а также на обеспечение участия команд в спортивных мероприятиях.

Регионы, команды которых стали победителями Ночной хоккейной лиги и фестиваля спорта народов Юга России, смогут получить субсидии на капремонт спортивных объектов и закупку оборудования для них.

Для просмотра актуального текста документа и получения полной информации о вступлении в силу, изменениях и порядке применения документа, воспользуйтесь поиском в Интернет-версии системы ГАРАНТ: