Анонсы
Программа повышения квалификации "О контрактной системе в сфере закупок" (44-ФЗ)"

Об актуальных изменениях в КС узнаете, став участником программы, разработанной совместно с АО ''СБЕР А". Слушателям, успешно освоившим программу, выдаются удостоверения установленного образца.

Программа повышения квалификации "О корпоративном заказе" (223-ФЗ от 18.07.2011)

Программа разработана совместно с АО ''СБЕР А". Слушателям, успешно освоившим программу, выдаются удостоверения установленного образца.

Носова Екатерина Евгеньевна
Выберите тему программы повышения квалификации для юристов ...

15 февраля 2024

Методические рекомендации МР 2.6.1.0333-23 "Радиационный контроль и санитарно-эпидемиологическая оценка жилых, общественных и производственных зданий и сооружений по показателям радиационной безопасности" (утв. Федеральной службой по надзору в сфере защиты прав потребителей и благополучия человека 1 декабря 2023 г.)

Методические рекомендации МР 2.6.1.0333-23
"Радиационный контроль и санитарно-эпидемиологическая оценка жилых, общественных и производственных зданий и сооружений по показателям радиационной безопасности"
(утв. Федеральной службой по надзору в сфере защиты прав потребителей и благополучия человека 1 декабря 2023 г.)

взамен МУ 2.6.1.2838-11

I. Область применения

1.1. Настоящие методические рекомендации (далее - МР) описывают алгоритм проведения и минимальный объем радиационного контроля и санитарно-эпидемиологической оценки жилых, общественных и производственных зданий и сооружений (далее - зданий и сооружений) на различных этапах их жизненного цикла, начиная с ввода в эксплуатацию и заканчивая сносом 1.

------------------------------

1 Часть 2 статьи 2 Федерального закона от 30.12.2009 N 384-ФЗ "Технический регламент о безопасности зданий и сооружений" (далее - Федеральный закон от 30.12.2009 N 384-ФЗ).

------------------------------

1.2. МР распространяются на организацию и проведение радиационного контроля и санитарно-эпидемиологической оценки зданий и сооружений на соответствие показателей радиационной безопасности санитарно-эпидемиологическим требованиям 2.

------------------------------

2 Подпункты 3.2.2 - 3.2.4 пункта 3.2, подпункты 4.2.2, 4.2.6, 4.2.7 пункта 4.2 СанПиН 2.6.1.2800-10 "Гигиенические требования по ограничению облучения населения за счет природных источников ионизирующего излучения", утвержденных постановлением Главного государственного санитарного врача Российской Федерации от 24.12.2010 N 171 (зарегистрировано Минюстом России 27.01.2011, регистрационный N 19587) (далее - СанПиН 2.6.1.2800-10).

------------------------------

II. Общие положения

2.1. Рекомендации по организации и порядку проведения радиационного контроля и санитарно-эпидемиологической оценки по показателям радиационной безопасности зданий и сооружений распространяются на различные этапы их жизненного цикла 3:

------------------------------

3 Пункты 13, 14, 14.2, 14.4 статьи 1 Градостроительного кодекса Российской Федерации от 29.12.2004 N 190-ФЗ (далее - Градостроительный кодекс от 29.12.2004 N 190-ФЗ).

------------------------------

при сдаче в эксплуатацию после окончания строительства, капитального ремонта, реконструкции;

в процессе эксплуатации;

перед проведением капитального ремонта, реконструкции;

перед сносом.

2.2. Оценка зданий и сооружений на соответствие санитарно-эпидемиологическим требованиям 4 к показателям радиационной безопасности проводится по результатам радиационного контроля, проведенного испытательными лабораториями, аккредитованными в установленном порядке 5 на соответствующие виды измерений.

------------------------------

4 Подпункты 3.2.2 - 3.2.4 пункта 3.2, подпункты 4.2.2, 4.2.6, 4.2.7 пункта 4.2 СанПиН 2.6.1.2800-10.

5 Статья 31 Федерального закона от 27.12.2002 N 184-ФЗ "О техническом регулировании"; Федеральный закон от 28.12.2013 N 412-ФЗ "Об аккредитации в национальной системе аккредитации".

------------------------------

2.3. К изотопам радона в рамках настоящих МР относятся 222Rn (далее - радон) и 220Rn (далее - торон).

2.4. В рамках радиационного контроля зданий и сооружений определяются, в зависимости от этапа их жизненного цикла, следующие показатели радиационной безопасности (конкретные перечни определяемых на каждом этапе показателей приведены в главах IV - VII настоящих МР), которые являются либо прямо измеряемыми физическими величинами, либо рассчитываются на основе результатов измерений физических величин:

мощность амбиентного эквивалента дозы (далее - МАЭД) гамма-излучения в помещениях зданий и сооружений, а также на прилегающей территории 6;

------------------------------

6 Пункт 14 части 2 статьи 2 Федерального закона от 30.12.2009 N 384-ФЗ; пункт 37 статьи 1 Градостроительного кодекса от 29.12.2004 N 190-ФЗ.

------------------------------

среднегодовое значение эквивалентной равновесной объемной активности (далее - ЭРОА) изотопов радона 7 в воздухе помещений зданий и сооружений, рассчитываемой по формуле (1):

------------------------------

7 Подпункты 5.3.2 и 5.3.3 пункта 5.3 СанПиН 2.6.1.2523-09 "Нормы радиационной безопасности (НРБ-99/2009)", утвержденных постановлением Главного государственного санитарного врача Российской Федерации от 07.07.2009 N 47 (зарегистрировано Минюстом России 14.08.2009, регистрационный N 14534) (далее - НРБ99/2009).

------------------------------

, Бк/м 3,

(1)

где: C Rn и C Tn, Бк/м 3 - ЭРОА радона и торона в воздухе помещений соответственно;

эффективная удельная активность природных радионуклидов 8 (далее - ПРН) в строительных материалах и изделиях, рассчитываемая по формуле (2):

------------------------------

8 Приложение 7 СанПиН 2.6.1.2800-10.

------------------------------

, Бк/кг,

(2)

где: A Ra и A Th, Бк/кг - удельная активность (далее - УА) 226Ra и 232Th, находящихся в радиоактивном равновесии с остальными членами уранового и ториевого рядов соответственно, а A K, Бк/кг - УА 40K;

плотность потока радона (далее - ППР) с поверхности грунта;

уровни радиоактивного загрязнения (общего, неснимаемого, снимаемого) поверхностей строительных конструкций зданий и сооружений альфа- и бета-излучающими радионуклидами.

2.5. В случаях, когда ЭРОА радона в воздухе определяется по результатам измерений объемной активности (далее - ОА) радона в воздухе, измеренные значения ОА радона A Rn пересчитываются в значения ЭРОА радона C Rn с использованием коэффициента равновесия F Rn, характеризующего сдвиг радиоактивного равновесия между радоном и его короткоживущими дочерними продуктами распада в воздухе, по формуле (3):

,

(3)

где: F Rn, отн. ед. - коэффициент равновесия, значение которого принимается равным 0,5.

2.6. Оценка контролируемого показателя радиационной безопасности проводится с учетом оцененной расширенной неопределенности результата измерений 9 (с коэффициентом охвата k = 2, соответствующим интервалу с уровнем доверия, близким к 95 % 10).

------------------------------

9 Пункт 7.4 ГОСТ 8.638 "Государственная система обеспечения единства измерений. Метрологическое обеспечение радиационного контроля. Основные положения", введенного приказом Росстандарта от 13.03.2014 N 138-ст.

10 Подпункт 6.3.3 ГОСТ 34100.3 "Неопределенность измерения. Часть 3. Руководство по выражению неопределенности измерения", введенного приказом Росстандарта от 12.09.2017 N 1065-ст (далее - ГОСТ 34100.3).

------------------------------

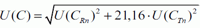
Для результата расчета ЭРОА изотопов радона C по формуле (1) суммарная неопределенность 11 U(C) рассчитывается по формуле (4):

------------------------------

11 Пункт 5.1 ГОСТ 34100.3.

------------------------------

, Бк/м 3,

(4)

где: U(C Rn) и U(C Tn), Бк/м 3 - абсолютные расширенные неопределенности результатов измерения ЭРОА радона и торона в воздухе помещений соответственно, определяемые в соответствии с методикой измерений или руководством по эксплуатации средства измерений.

Для результата расчета эффективной удельной активности ПРН А эфф по формуле (2) суммарная неопределенность U(А эфф) рассчитывается по формуле (5):

, Бк/кг,

(5)

где: U(A Ra), U(A Th) и U(A K), Бк/кг - абсолютные расширенные неопределенности результатов измерения УА 226Ra, 232Th и 40K соответственно, определяемые в соответствии с методикой измерений или руководством по эксплуатации средства измерений.

2.7. В случае, если измеренное значение физической величины составляет менее нижней границы диапазона измерения применяемого средства измерений, за результат измерения принимается значение нижней границы диапазона измерения. Абсолютная расширенная неопределенность этого измерения равна неопределенности измерения нуля U 0 применяемого средства измерений. Если данная метрологическая характеристика не представлена в технической документации применяемого средства измерений, то абсолютная расширенная неопределенность определяется в соответствии с методикой измерений или руководством по эксплуатации применяемого средства измерений.

2.8. Радиационный контроль зданий и сооружений включает поиск и выявление локальных радиационных аномалий (далее - ЛРА) и участков радиоактивного загрязнения (далее - УРЗ) в строительных конструкциях и в необходимых случаях на прилегающей территории (гамма-съемку). При выявлении ЛРА или УРЗ в строительных конструкциях помещения здания или сооружения и (или) на прилегающей территории определение показателей радиационной безопасности зданий и сооружений и (или) территории не проводится до установления причин возникновения ЛРА или УРЗ и при необходимости их полной ликвидации.

Информация о случаях выявления ЛРА или УРЗ в зданиях и сооружениях и (или) на прилегающей к ним территории доводится до территориальных органов Роспотребнадзора 12.

------------------------------

12 Приложение 3 постановления Главного государственного санитарного врача Российской Федерации от 04.02.2016 N 11 "О представлении внеочередных донесений о чрезвычайных ситуациях санитарно-эпидемиологического характера" (вместе с "Порядком представления внеочередных донесений о возникновении чрезвычайных ситуаций санитарно-эпидемиологического характера") (зарегистрировано Минюстом России 24.03.2016, регистрационный N 41525).

------------------------------

III. Средства радиационного контроля

3.1. Для поиска и выявления ЛРА и УРЗ в строительных конструкциях зданий, сооружений и на прилегающей территории, а также неучтенных (утерянных) источников ионизирующего излучения (далее - ИИИ), применяются средства измерений (поисковые гамма-радиометры или дозиметры-радиометры гамма-излучения), градуированные в единицах мощности амбиентного эквивалента дозы или мощности экспозиционной дозы гамма-излучения, имеющие выносные, в том числе на телескопической штанге, блоки детектирования на основе сцинтиллятора и поисковый режим работы со звуковой сигнализацией скорости счета регистрируемых гамма-квантов, обеспечивающие регистрацию потока гамма-квантов в диапазоне энергий от не более 50 кэВ до не менее 3 МэВ.

3.2. Для измерения МАЭД гамма-излучения применяются средства измерений (дозиметры и дозиметры-радиометры) с техническими характеристиками:

нижняя граница диапазона энергий регистрируемого гамма-излучения - не более 50 кэВ, верхняя граница - не менее 3 МэВ;

нижний предел диапазона измерения МАЭД гамма-излучения - не более 0,1 мкЗв/ч при допускаемой основной относительной погрешности не более 60 %;

предел допускаемой основной относительной погрешности на уровне 0,3 мкЗв/ч и выше - не более 30 %.

3.3. Для измерения ЭРОА изотопов радона в воздухе помещений экспрессным методом применяются средства измерений с техническими характеристиками:

нижний предел диапазона измерения ЭРОА радона в воздухе - не более 10 Бк/м 3, предел допускаемой основной относительной погрешности - не более 30 %;

нижний предел диапазона измерения ЭРОА торона в воздухе - не более 1 Бк/м 3, предел допускаемой основной относительной погрешности - не более 30 %.

3.4. Для измерения ОА радона в воздухе помещений квазиинтегральным методом применяются средства измерений с техническими характеристиками:

нижний предел диапазона измерения ОА радона в воздухе - не более 20 Бк/м 3, предел допускаемой основной относительной погрешности - не более 30 % при длительности пассивного пробоотбора не менее 3 суток.

3.5. Для измерения ОА радона в воздухе помещений интегральным методом применяются средства измерений с техническими характеристиками:

нижний предел диапазона измерения ОА радона в воздухе - не более 40 Бк/м 3, предел допускаемой основной относительной погрешности - не более 40 % при длительности пассивного пробоотбора не менее 30 суток.

3.6. Для измерения ОА радона в воздухе помещений непрерывным методом применяются средства измерений с техническими характеристиками:

нижний предел диапазона измерения ОА радона в воздухе - не более 10 Бк/м 3, предел допускаемой основной относительной погрешности - не более 30 %;

верхний предел длительности пробоотбора - не менее 30 суток;

периодичность регистрации показаний - не более 60 мин.

3.7. Для измерения ППР с поверхности грунта применяются средства измерений с техническими характеристиками:

нижний предел диапазона измерения ППР с поверхности грунта (земли) - не более 20 мБк/(м 2·с), предел допускаемой основной относительной погрешности - не более 30 %.

3.8. Для контроля уровней радиоактивного загрязнения поверхностей строительных конструкций альфа- и бета-излучающими радионуклидами применяются средства измерений с техническими характеристиками:

нижний предел диапазона измерения поверхностной активности альфа-излучающих радионуклидов - не более 0,01 Бк/см 2, предел допускаемой основной относительной погрешности - не более 20 %;

нижний предел диапазона измерения поверхностной активности бета-излучающих радионуклидов - не более 0,1 Бк/см 2, предел допускаемой основной относительной погрешности - не более 20 %.

Могут применяться средства измерений, не имеющие индикации результата измерения в единицах поверхностной активности радионуклидов (Бк/см 2), с техническими характеристиками:

нижний предел диапазона измерения плотности потока 13 альфа-частиц - не более 0,25 частиц/(мин·см 2) предел допускаемой основной относительной погрешности - не более 20 %;

------------------------------

13 Примечание: единица измерения плотности потока частиц в технической документации средств измерений также может быть представлена в виде "мин -1·см -2", "част/(мин·см -2)", "част./(мин·см 2)", "1/(мин·см 2)".

------------------------------

нижний предел диапазона измерения плотности потока бета-частиц - не более 2,5 частиц/(мин·см 2), предел допускаемой основной относительной погрешности - не более 20 %.

В этом случае уровни радиоактивного загрязнения поверхности (поверхностные активности альфа- и бета-излучающих радионуклидов) рассчитываются по формулам (6) и (7):

;

(6)

,

(7)

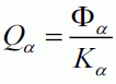
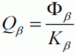
где: Q? и Q?, Бк/см 2 - поверхностная активность альфа- и бета-излучающих радионуклидов соответственно;

Ф? и Ф?, частиц/(мин·см 2) - плотность потока альфа- и бета-частиц соответственно;

K? и K?, Бк -1·мин -1 - пересчетные коэффициенты, значения которых принимаются по технической документации применяемого средства измерений; при отсутствии в технической документации этих сведений значения коэффициентов принимаются равными K? = K? = 30.

3.9. Для определения удельной активности радионуклидов и эффективной удельной активности ПРН в материалах строительных конструкций 14 (строительных материалах) применяются средства измерений (установки и комплексы спектрометрические) с техническими характеристиками:

------------------------------

14 Пункт 24 части 2 статьи 2 Федерального закона от 30.12.2009 N 384-ФЗ.

------------------------------

нижняя граница диапазона энергий регистрируемого гамма-излучения - не более 50 кэВ, верхняя граница - не менее 3 МэВ;

нижний предел диапазона измерения удельной активности 226Ra в пробе - не выше 10 Бк/кг, 232Th - не выше 15 Бк/кг, 40K - не выше 80 Бк/кг, 137Cs - не выше 10 Бк/кг, предел допускаемой основной относительной погрешности - не более 30 %.

3.10. Для определения удельной активности радионуклидов и эффективной удельной активности ПРН в материалах строительных конструкций (строительных материалах) неразрушающим методом применяются средства измерений (портативные спектрометры гамма-излучения) с техническими характеристиками:

нижняя граница диапазона энергий регистрируемого гамма-излучения - не более 50 кэВ, верхняя граница - не менее 3 МэВ;

нижний предел диапазона измерения удельной активности 137Cs - не выше 50 Бк/кг, эффективной удельной активности ПРН - не выше 100 Бк/кг, предел допускаемой основной относительной погрешности - не более 30 %.

3.11. При измерении ОА радона квазиинтегральным, интегральным или непрерывным методом в начале и конце пробоотбора проводится измерение ЭРОА торона CTn экспрессным методом. Среднее арифметическое значение результатов двух измерений используется при расчете значения ЭРОА изотопов радона.

3.12. Ограничения на условия выполнения измерений при определении МАЭД гамма-излучения, ЭРОА изотопов радона и ОА радона в воздухе, удельной активности радионуклидов и эффективной удельной активности ПРН в строительных материалах и изделиях, уровней радиоактивного загрязнения поверхностей строительных конструкций альфа- и бета-излучающими радионуклидами, ППР с поверхности грунта, а также проведения поисковой гамма-съемки устанавливаются в методиках измерений и (или) руководствах по эксплуатации средств измерений.

Измерения ППР с поверхности грунта не проводятся при наличии устойчивого снежного покрова 15 толщиной более 0,1 м.

------------------------------

15 Подпункт 3.1.10, подпункт 5.5.3 СП 502.1325800.2021 "Инженерно-экологические изыскания для строительства. Общие правила производства работ", утвержденного и введенного в действие приказом Минстроя России от 16.07.2021 N 475/пр.

------------------------------

IV. Радиационный контроль и санитарно-эпидемиологическая оценка зданий и сооружений, вводимых в эксплуатацию после окончания строительства, капитального ремонта, реконструкции

4.1. Контролируемыми показателями радиационной безопасности в зданиях и сооружениях, вводимых в эксплуатацию после окончания строительства, капитального ремонта, реконструкции, являются:

среднегодовое значение ЭРОА изотопов радона в воздухе помещений;

МАЭД гамма-излучения в помещениях и на прилегающей территории (при ее наличии).

4.2. Среднегодовое значение ЭРОА изотопов радона в воздухе помещений и МАЭД гамма-излучения в помещениях зданий и сооружений, вводимых в эксплуатацию после окончания строительства, капитального ремонта, реконструкции, и МАЭД гамма-излучения на прилегающей к зданиям и сооружениям территории должны соответствовать санитарно-эпидемиологическим требованиям 16.

------------------------------

16 Подпункты 3.2.2, 3.2.4 пункта 3.2, подпункты 4.2.2, 4.2.6 пункта 4.2 СанПиН 2.6.1.2800-10.

------------------------------

4.3. Контроль МАЭД гамма-излучения на прилегающей к зданиям и сооружениям территории и ее санитарно-эпидемиологическая оценка проводятся в соответствии с действующими методическими указаниями по радиационному контролю и санитарно-эпидемиологической оценке земельных участков под строительство зданий и сооружений в части обеспечения радиационной безопасности 17.

------------------------------

17 МУ 2.6.1.2398-08 "Радиационный контроль и санитарно-эпидемиологическая оценка земельных участков под строительство жилых домов, зданий и сооружений общественного и производственного назначения в части обеспечения радиационной безопасности", утвержденные руководителем Федеральной службы по надзору в сфере защиты прав потребителей и благополучия человека, Главным государственным санитарным врачом Российской Федерации 02.07.2008 (далее - МУ 2.6.1.2398-08).

------------------------------

4.4. Измерения МАЭД гамма-излучения на открытой местности, результаты которых используются для оценки соответствия МАЭД гамма-излучения в помещениях жилых и общественных зданий установленному нормативу, проводятся с помощью средства измерений того же типа, что и измерения МАЭД гамма-излучения в помещениях 18. Измерения проводятся не менее чем в 4 контрольных точках, расположенных с разных сторон здания, на высоте 1 м от поверхности земли на грунтовых 19 участках без покрытий. За принимается наименьший из полученных результатов, а за - его расширенная неопределенность.

------------------------------

18 Примечание: дозиметры и дозиметры-радиометры гамма-излучения разных типов характеризуются разным значением собственного фона и отклика на космическое излучение (Н ф+к), значение которого может быть определено над поверхностью водоема при глубине воды не менее 5 м и на расстоянии до любого из берегов не менее 50 м.

19 Пункт 3.3 ГОСТ 25100 "Грунты. Классификация", введенного приказом Росстандарта от 21.07.2020 N 384-ст.

------------------------------

Алгоритм проведения контроля МАЭД гамма-излучения в помещениях

4.5. Контроль МАЭД гамма-излучения в помещениях зданий и сооружений проводится в два этапа.

4.6. На первом этапе проводится сплошная поисковая гамма-съемка помещений здания или сооружения с целью выявления возможных ЛРА или УРЗ в строительных конструкциях.

4.7. Гамма-съемка проводится путем обхода всех помещений здания или сооружения вдоль ограждающих конструкций, в процессе которого блоком детектирования поискового прибора (гамма-радиометра или дозиметра-радиометра гамма-излучения в поисковом режиме работы) совершаются зигзагообразные движения вдоль поверхности стен и пола при максимальном его приближении к их поверхности при непрерывном наблюдении за показаниями поискового прибора с постоянным прослушиванием звуковой сигнализации скорости счета импульсов (регистрируемых гамма-квантов).

4.8. Если по результатам гамма-съемки в строительных конструкциях помещений жилых и общественных зданий выявлены зоны, в которых показания поисковых приборов превышают значение более чем на 0,3 мкЗв/ч (35 мкР/ч), или по результатам гамма-съемки в строительных конструкциях помещений производственных зданий или сооружений выявлены зоны, в которых показания поисковых приборов превышают значение 0,6 мкЗв/ч (70 мкР/ч), то вплотную к поверхности строительных конструкций в контрольных точках, где по результатам гамма-съемки зафиксированы максимальные показания поисковых приборов, проводятся измерения МАЭД гамма-излучения (при этом принимаются меры по предотвращению загрязнения детектора дозиметра или дозиметра-радиометра).

4.9. ЛРА или УРЗ считается участок строительных конструкций, где МАЭД гамма-излучения вплотную к поверхности конструкций превышает следующие значения:

+ + 0,3 мкЗв/ч в помещениях жилых и общественных зданий;

0,6 мкЗв/ч в помещениях производственных зданий и сооружений.

Если МАЭД гамма-излучения вплотную к поверхности конструкций не превышает указанных значений, то считается, что ЛРА и УРЗ в строительных конструкциях помещений отсутствуют.

4.10. Оконтуривание ЛРА и УРЗ выполняется по уровням МАЭД гамма-излучения вплотную к поверхности строительных конструкций, указанным в п. 4.9 настоящих МР. Если МАЭД гамма-излучения вплотную к поверхности строительных конструкций в пределах ЛРА или УРЗ превышает 1,0 мкЗв/ч, то дальнейшие работы по отбору проб не проводятся, а для исключения доступа посторонних лиц участок ЛРА или УРЗ огораживается таким образом, чтобы МАЭД гамма-излучения не превышала 1,0 мкЗв/ч на линии ограждения 20. Детализация и ликвидация (дезактивация) ЛРА или УРЗ осуществляется в соответствии с санитарно-эпидемиологическими требованиями силами лицензированной организации 21.

------------------------------

20 Пункт 5.4 МР 2.6.1.0050-11 "Санитарно-гигиенические требования к мероприятиям по ликвидации последствий радиационной аварии", утвержденных руководителем Федеральной службы по надзору в сфере защиты прав потребителей и благополучия человека, Главным государственным санитарным врачом Российской Федерации 25.12.2011 (далее - МР 2.6.1.0050-11).

21 Подпункт 3.11.7 пункта 3.11 СП 2.6.1.2612-10 "Основные санитарные правила обеспечения радиационной безопасности (ОСПОРБ 99/2010)", утвержденных постановлением Главного государственного санитарного врача Российской Федерации от 26.04.2010 N 40 (зарегистрировано Минюстом России 11.08.2010, регистрационный N 18115), с изменениями, внесенными постановлением Главного государственного санитарного врача Российской Федерации от 16.09.2013 N 43 (зарегистрировано Минюстом России 05.11.2013, регистрационный N 30309) (далее - ОСПОРБ 99/2010).

------------------------------

4.11. Если МАЭД гамма-излучения вплотную к поверхности строительных конструкций в пределах ЛРА или УРЗ не превышает 1,0 мкЗв/ч, то на участке ЛРА или УРЗ проводится отбор проб материала строительных конструкций из точек с максимальными значениями МАЭД гамма-излучения для определения радионуклидного состава ЛРА или УРЗ и ее гигиенической оценки в соответствии с санитарно-эпидемиологическими требованиями 22. В качестве неразрушающего метода определения радионуклидного состава ЛРА или УРЗ и эффективной удельной активности ПРН в материале строительных конструкций применяются портативные спектрометры гамма-излучения.

------------------------------

22 Подпункты 3.11.4, 3.11.5, 3.11.8, 3.11.9 пункта 3.11, подпункт 5.2.9 пункта 5.2 ОСПОРБ 99/2010; пункты 6.1 - 6.10 СанПиН 2.6.1.2800-10.

------------------------------

Если при отборе проб зафиксирован рост МАЭД гамма-излучения по мере заглубления в материал, выполняется отбор проб материала с глубины, на которой зафиксированы максимальные значения МАЭД гамма-излучения. Если МАЭД гамма-излучения после снятия очередного слоя достигает 1,0 мкЗв/ч, то отбор проб прекращается, а для исключения доступа посторонних лиц участок ЛРА или УРЗ огораживается таким образом, чтобы МАЭД гамма-излучения не превышала 1,0 мкЗв/ч на линии ограждения.

Дальнейшее обращение со строительными материалами на участке ЛРА, содержащими только ПРН, осуществляется в соответствии с санитарно-эпидемиологическими требованиями 23 на основании результатов определения эффективной удельной активности ПРН в отобранных пробах материала (либо неразрушающим методом с помощью портативного спектрометра гамма-излучения). При обнаружении по результатам спектрометрического исследования в материале техногенных радионуклидов с удельными активностями, превышающими соответствующие минимально значимые удельные активности 24, участок классифицируется как УРЗ и при необходимости привлекается лицензированная организация 25.

------------------------------

23 Подпункт 5.2.9 пункта 5.2 ОСПОРБ 99/2010; пункты 6.1 - 6.10 СанПиН 2.6.1.2800-10.

24 Приложение 4 НРБ-99/2009.

25 Пункт 1.8 главы I ОСПОРБ 99/2010.

------------------------------

4.12. После ликвидации выявленных ЛРА или УРЗ проводится повторное обследование помещений, в которых они были обнаружены, в соответствии с пп. 4.6 - 4.11 настоящих МР.

4.13. На втором этапе проводятся измерения МАЭД гамма-излучения в помещениях здания или сооружения. Измерение в помещении проводится в точке, расположенной в его центре на высоте 1 м от пола. При площади обследуемого помещения более 100 м 2 количество измерений увеличивается из расчета одно измерение на каждые 100 м 2, а измерения проводятся в центре каждого условного сегмента площадью до 100 м 2.

4.14. В перечень обследуемых включаются квартиры (помещения), расположенные на всех этажах здания или сооружения, а также, в случае многоквартирных жилых домов, во всех подъездах (секциях) и по всем стоякам в пределах подъезда (секции). При этом в число обследуемых включаются квартиры (помещения), в которых зафиксированы максимальные показания поисковых приборов, а также помещения после ликвидации обнаруженных ЛРА или УРЗ.

4.15. Минимальный объем контроля определяется следующим образом:

в индивидуальных жилых домах 26 и зданиях детских образовательных организаций 27 измерения проводятся во всех помещениях с постоянным пребыванием людей 28;

------------------------------

26 Пункт 3.11 СП 55.13330.2016 "СНиП 31-02-2001 Дома жилые одноквартирные", утвержденного приказом Минстроя России от 20.10.2016 N 725/пр, с изменениями, внесенными приказами Минстроя России от 10.07.2018 N 415/пр, от 17.05.2023 N 350/пр.

27 Части 2, 3 статьи 23 Федерального закона от 29.12.2012 N 273-ФЗ "Об образовании в Российской Федерации".

28 Пункт 15 части 2 статьи 2 Федерального закона от 30.12.2009 N 384-ФЗ.

------------------------------

в остальных случаях доля от общего количества и минимальное количество обследуемых квартир в многоквартирных жилых домах (помещений с постоянным пребыванием людей в общественных и производственных зданиях и сооружениях) определяется по таблице 1.

Таблица 1

Минимальный объем контроля помещений зданий или сооружений, вводимых в эксплуатацию после окончания строительства, капитального ремонта, реконструкции

Общее количество квартир в многоквартирных жилых домах (помещений для постоянного пребывания людей в общественных зданиях и производственных зданиях и сооружениях) Доля обследуемых квартир (помещений) Минимальное количество обследуемых квартир (помещений)
Не более 10 50 % 2
Более 10 и не более 40 25 % 5
Более 40 и не более 250 10 % 10
Более 250 и не более 1000 5 % 25
Более 1000 2 % 50

4.16. В обследуемых квартирах в многоквартирных жилых домах измерение МАЭД гамма-излучения проводится в помещении для постоянного пребывания людей, в котором зафиксированы максимальные показания поисковых приборов.

4.17. Помещения жилых и общественных зданий соответствуют санитарно-эпидемиологическим требованиям 29 по МАЭД гамма-излучения, если для них выполняется соотношение (8):

------------------------------

29 Подпункт 4.2.6 пункта 4.2 СанПиН 2.6.1.2800-10.

------------------------------

, мкЗв/ч,

(8)

где: H, мкЗв/ч - результат измерения МАЭД гамма-излучения в помещении;

, мкЗв/ч - наименьший из результатов измерения МАЭД гамма-излучения на открытой местности;

U sum(H), мкЗв/ч - суммарная неопределенность разности результата измерения МАЭД гамма-излучения в помещении и наименьшего из результатов измерения МАЭД гамма-излучения на открытой местности , рассчитываемая по формуле (9):

,

(9)

где: U(H), мкЗв/ч - абсолютная расширенная неопределенность результата измерения МАЭД гамма-излучения в помещении, определяемая в соответствии с методикой измерений или руководством по эксплуатации средства измерений;

, мкЗв/ч - абсолютная расширенная неопределенность наименьшего из результатов измерения МАЭД гамма-излучения на открытой местности, определяемая в соответствии с методикой измерений или руководством по эксплуатации средства измерений.

Помещения производственных зданий и сооружений соответствуют санитарно-эпидемиологическим требованиям 30 по МАЭД гамма-излучения, если для них выполняется соотношение (10):

------------------------------

30 Подпункт 3.2.2 пункта 3.2 СанПиН 2.6.1.2800-10.

------------------------------

, мкЗв/ч.

(10)

В противном случае помещения признаются несоответствующими санитарно-эпидемиологическим требованиям 31 по МАЭД гамма-излучения.

------------------------------

31 Подпункт 3.2.2 пункта 3.2, подпункт 4.2.6 пункта 4.2 СанПиН 2.6.1.2800-10.

------------------------------

4.18. В случае несоответствия помещений жилых и общественных зданий, вводимых в эксплуатацию после окончания строительства, капитального ремонта, реконструкции, требованиям 32 по МАЭД гамма-излучения, в них проводятся мероприятия 33, после реализации которых проводится повторное обследование зданий (см. пп. 4.4 - 4.17 настоящих МР).

------------------------------

32 Подпункт 4.2.6 пункта 4.2 СанПиН 2.6.1.2800-10.

33 Подпункт 4.2.6 пункта 4.2 СанПиН 2.6.1.2800-10.

------------------------------

Алгоритм проведения контроля ЭРОА изотопов радона в воздухе помещений

4.19. При проведении радиационного контроля зданий и сооружений, вводимых в эксплуатацию после окончания строительства, капитального ремонта, реконструкции, с использованием методов краткосрочного (с продолжительностью пробоотбора не более 6 суток) измерения ЭРОА изотопов радона в воздухе рассчитывается оценка верхней границы среднегодового значения ЭРОА изотопов радона в воздухе помещений.

4.20. Оценка верхней границы среднегодового значения ЭРОА изотопов радона в воздухе помещения рассчитывается по формуле (11):

, Бк/м 3,

(11)

где: K t, отн. ед. - коэффициент вариации 34, значение которого принимается равным 1,0 для холодного периода года, характеризуемого среднесуточной температурой наружного воздуха равной плюс 10 °C и ниже, и 1,3 - для теплого периода года, характеризуемого среднесуточной температурой наружного воздуха выше плюс 10 °C 35.

------------------------------

34 Примечание: значение коэффициента вариации K t зависит от температуры воздуха внутри и снаружи контролируемого помещения, атмосферного давления, силы и направления ветра в период проведения измерений, а также от среднегодовых значений этих величин. В силу этого конкретные значения коэффициента имеют региональные особенности и определяются периодом года, когда проводятся измерения. Функциональные зависимости региональных коэффициентов от перечисленных параметров могут быть в дальнейшем определены в рамках специального аналитического обобщения результатов проводимых обследований в совокупности со значениями влияющих факторов.

35 Пункт 91 СанПиН 1.2.3685-21 "Гигиенические нормативы и требования к обеспечению безопасности и (или) безвредности для человека факторов среды обитания", утвержденных постановлением Главного государственного санитарного врача Российской Федерации от 28.01.2021 N 2 (зарегистрировано Минюстом России 29.01.2021, регистрационный N 62296), с изменениями, внесенными постановлением Главного государственного санитарного врача Российской Федерации от 30.12.2022 N 24 (зарегистрировано Минюстом России 09.03.2023, регистрационный N 72558).

------------------------------

Для результата расчета оценки верхней границы среднегодового значения ЭРОА изотопов радона в воздухе помещения по формуле (11) суммарная неопределенность рассчитывается по формуле (12):

, Бк/м 3.

(12)

4.21. Измерения ЭРОА изотопов радона в воздухе помещений проводятся в заранее подготовленном к обследованию здании или сооружении с соблюдением следующих условий:

установлены все окна и двери (как в помещениях, так и в подъездах (секциях) жилых многоквартирных домов);

закончены (или приостановлены на период проведения обследования) внутренние отделочные работы, производство которых связано с периодическим открыванием окон и дверей;

здание или сооружение предварительно выдержано при закрытых окнах и дверях (как в помещениях, так и в подъездах (секциях) жилых многоквартирных домов) и штатном режиме работы механической системы вентиляции и (или) кондиционирования воздуха (если они предусмотрены проектом, смонтированы, и проведены пусконаладочные работы) не менее 12 ч.

4.22. В перечень обследуемых квартир (помещений) включаются квартиры (помещения), расположенные на всех этажах здания или сооружения, а также, в случае многоквартирных жилых домов, во всех подъездах (секциях) и по всем стоякам в пределах подъезда (секции). В число обследуемых квартир (помещений) включаются квартиры (помещения) после ликвидации обнаруженных ЛРА или УРЗ по пп. 4.6 - 4.12 настоящих МР. В индивидуальных жилых домах и квартирах в многоквартирных жилых домах измерения не проводятся во вспомогательных помещениях 36.

------------------------------

36 Подпункт 3.1.27 СП 54.13330.2022 "СНиП 31-01-2003 Здания жилые многоквартирные", утвержденного приказом Минстроя России от 13.05.2022 N 361/пр (далее - СП 54.13330.2022).

------------------------------

4.23. Минимальный объем контроля определяется согласно п. 4.15 настоящих МР.

4.24. Для корректировки объема контроля и выбора квартир (помещений) для обследования проводятся предварительные измерения ЭРОА изотопов радона в воздухе помещений подвального или подземного этажа 37 при их наличии в здании (кроме жилых одноквартирных домов) или сооружении. Если значение ЭРОА изотопов радона в воздухе этих помещений превышает 100 Бк/м 3, то в число обследуемых включаются все квартиры (помещения с постоянным пребыванием людей) на первом и цокольном (при его наличии) этаже 38 здания или сооружения, а число контролируемых квартир (помещений) на втором этаже здания или сооружения удваивается.

------------------------------

37 Подпункты 3.1.45, 3.1.46 СП 54.13330.2022; подпункты 3.1.42, 3.1.43 СП 118.13330.2022 "СНиП 3106-2009 Общественные здания и сооружения", утвержденного приказом Минстроя России от 19.05.2022 N 389/пр (далее - СП 118.13330.2022); пункты 3.12, 3.13 СП 56.13330.2021 "СНиП 31-03-2001 Производственные здания", утвержденного приказом Минстроя России от 27.12.2021 N 1024/пр (далее - СП 56.13330.2021).

38 Подпункт 3.1.48 СП 54.13330.2022; подпункт 3.1.45 СП 118.13330.2022; пункт 3.22 СП 56.13330.2021.

------------------------------

4.25. Измерение в помещении проводится на высоте 1 - 2 м от пола не ближе 0,5 м от стен помещения. При площади обследуемого помещения более 100 м 2 количество измерений увеличивается из расчета одно измерение на каждые 100 м 2.

4.26. Помещения жилых и общественных зданий признаются соответствующими санитарно-эпидемиологическим требованиям 39 по среднегодовому значению ЭРОА изотопов радона, если для них выполняется соотношение (13):

------------------------------

39 Подпункт 4.2.6 пункта 4.2 СанПиН 2.6.1.2800-10.

------------------------------

Бк/м 3.

(13)

Помещения производственных зданий и сооружений признаются соответствующими санитарно-эпидемиологическим требованиям 40 по среднегодовому значению ЭРОА изотопов радона, если для них выполняется соотношение (14):

------------------------------

40 Подпункт 3.2.2 пункта 3.2 СанПиН 2.6.1.2800-10.

------------------------------

Бк/м 3.

(14)

4.27. Если по результатам измерений экспрессным методом установлено, что в отдельных помещениях жилых и общественных зданий не выполняется соотношение (13) или в отдельных помещениях производственных зданий и сооружений не выполняется соотношение (14), то в них проводятся повторные измерения ЭРОА изотопов радона экспрессным методом (не менее 3 измерений, проведенных в течение 3 дней в разное время суток с последующим усреднением полученных результатов), либо измерения ОА радона квазиинтегральным методом (с продолжительностью пассивного пробоотбора не менее 3 суток), или непрерывным методом с помощью мониторов радона (с продолжительностью пробоотбора не менее 3 суток).

4.28. Если по результатам повторных измерений установлено, что в обследованных помещениях выполняется соотношение (13) для жилых и общественных зданий или соотношение (14) для производственных зданий и сооружений, то эти помещения признаются соответствующими санитарно-эпидемиологическим требованиям 41 по среднегодовому значению ЭРОА изотопов радона.

------------------------------

41 Подпункт 3.2.2 пункта 3.2, подпункт 4.2.6 пункта 4.2 СанПиН 2.6.1.2800-10.

------------------------------

В противном случае в помещениях, в которых не выполняется соотношение (13) для жилых и общественных зданий или соотношение (14) для производственных зданий и сооружений, проводятся долгосрочные измерения ОА радона интегральным методом или непрерывным методом с помощью мониторов радона (с продолжительностью пробоотбора не менее 30 суток). Объем контроля помещений увеличивается путем включения в перечень обследуемых всех квартир (помещений), расположенных на первом и цокольном (при его наличии) этаже здания или сооружения и проведения в них измерений в соответствии с пп. 4.19 - 4.21, 4.25 - 4.27 настоящих МР.

4.29. Помещения жилых и общественных зданий признаются соответствующими санитарно-эпидемиологическим требованиям 42 по среднегодовому значению ЭРОА изотопов радона, если по результатам долгосрочных измерений для них выполняется соотношение (15):

------------------------------

42 Подпункт 4.2.6 пункта 4.2 СанПиН 2.6.1.2800-10.

------------------------------

Бк/м 3.

(15)

Помещения производственных зданий и сооружений признаются соответствующими санитарно-эпидемиологическим требованиям 43 по среднегодовому значению ЭРОА изотопов радона, если по результатам долгосрочных измерений для них выполняется соотношение (16):

------------------------------

43 Подпункт 3.2.2 пункта 3.2 СанПиН 2.6.1.2800-10.

------------------------------

Бк/м 3.

(16)

В ином случае помещения признаются несоответствующими санитарно-эпидемиологическим требованиям 44 по среднегодовому значению ЭРОА изотопов радона в воздухе.

------------------------------

44 Подпункт 3.2.2 пункта 3.2, подпункт 4.2.6 пункта 4.2 СанПиН 2.6.1.2800-10.

------------------------------

4.30. В случае несоответствия помещений жилых и общественных зданий, вводимых в эксплуатацию после окончания строительства, капитального ремонта, реконструкции, требованиям по среднегодовому значению ЭРОА изотопов радона в воздухе 45, в них проводятся мероприятия 46, после реализации которых проводится повторное обследование зданий (см. пп. 4.19 - 4.29 настоящих МР).

------------------------------

45 Подпункт 4.2.6 пункта 4.2 СанПиН 2.6.1.2800-10.

46 Подпункт 4.2.6 пункта 4.2 СанПиН 2.6.1.2800-10.

------------------------------

V. Радиационный контроль и санитарно-эпидемиологическая оценка эксплуатируемых зданий и сооружений

5.1. Контролируемыми показателями радиационной безопасности в эксплуатируемых зданиях и сооружениях являются:

среднегодовое значение ЭРОА изотопов радона в воздухе помещений;

МАЭД гамма-излучения в помещениях и на прилегающей территории (при ее наличии).

Исходя из цели проведения радиационного контроля при обследовании эксплуатируемых зданий и сооружений определяется один или несколько из перечисленных показателей.

5.2. Среднегодовое значение ЭРОА изотопов радона в воздухе помещений и МАЭД гамма-излучения в помещениях эксплуатируемых зданий и сооружений, а также МАЭД гамма-излучения на прилегающей к зданиям и сооружениям территории должны соответствовать санитарно-эпидемиологическим требованиям 47.

------------------------------

47 Подпункты 3.2.3, 3.2.4 пункта 3.2, подпункты 4.2.2, 4.2.7 пункта 4.2 СанПиН 2.6.1.2800-10.

------------------------------

5.3. Измерения МАЭД гамма-излучения на прилегающей к зданиям или сооружениям территории проводятся в соответствии с п. 4.3 настоящих МР.

5.4. Измерения в помещениях эксплуатируемых зданий и сооружений проводят выборочно, при этом объем контроля и перечень обследуемых помещений определяется исходя из цели проведения радиационного контроля 48.

------------------------------

48 Примечание: например, обследование зданий, в которых ранее никогда не проводился радиационный контроль (объем контроля определяется согласно пп. 4.14 - 4.16 настоящих МР); обследование детских учреждений (объем контроля включает все помещения с длительным пребыванием людей на первом и цокольном (при его наличии) этаже, а также выборочно аналогичные помещения на всех вышележащих этажах); детальное обследование для проектирования защитных мероприятий (объем контроля включает все необходимые помещения).

------------------------------

5.5. Измерения МАЭД гамма-излучения в помещениях эксплуатируемых зданий и сооружений и оценка их соответствия санитарно-эпидемиологическим требованиям 49 по МАЭД гамма-излучения проводятся в соответствии с пп. 4.4 - 4.13, 4.16 - 4.17 настоящих МР.

------------------------------

49 Подпункт 3.2.3 пункта 3.2, подпункт 4.2.7 пункта 4.2 СанПиН 2.6.1.2800-10.

------------------------------

5.6. В случае несоответствия помещений эксплуатируемых зданий и сооружений санитарно-эпидемиологическим требованиям 50 по МАЭД гамма-излучения в них проводятся мероприятия 51, после реализации которых проводится повторное обследование зданий и сооружений (пп. 5.3 - 5.5 настоящих МР).

------------------------------

50 Подпункт 3.2.3 пункта 3.2, подпункт 4.2.7 пункта 4.2 СанПиН 2.6.1.2800-10.

51 Подпункт 3.2.3 пункта 3.2, подпункт 4.2.7 пункта 4.2 СанПиН 2.6.1.2800-10.

------------------------------

5.7. Измерения ЭРОА изотопов радона и ОА радона для определения среднегодового значения ЭРОА изотопов радона в воздухе помещений эксплуатируемых зданий и сооружений за исключением случаев, указанных в пп. 5.8, 5.9 и 5.19 настоящих МР, проводятся двукратно (в холодный и теплый периоды года) с дальнейшим усреднением результатов.

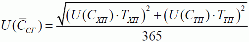
Среднегодовое значение ЭРОА изотопов радона в воздухе помещений по результатам измерений в холодный и теплый периоды года рассчитывается как средневзвешенное по продолжительности этих периодов по формуле (17):

, Бк/м 3,

(17)

где: С ХП и С ТП, Бк/м 3 - ЭРОА изотопов радона в холодный и теплый периоды года соответственно;

Т ХП и Т ТП, сут. - продолжительность холодного и теплого периодов года соответственно 52, при этом сумма продолжительностей этих периодов равна 365 сут.

------------------------------

52 Пункт 3.1 СП 131.13330.2012 "Строительная климатология. Актуализированная версия СНиП 23-01-99", утвержденного приказом Минрегиона России от 30.06.2012 N 275.

------------------------------

Для результата расчета по формуле (17) суммарная неопределенность рассчитывается по формуле (18):

, Бк/м 3,

(18)

где: U(С ХП) и U(С ТП), Бк/м 3 - суммарные неопределенности значений ЭРОА изотопов радона в холодный и теплый периоды года соответственно.

Помещения жилых и общественных зданий признаются соответствующими санитарно-эпидемиологическим требованиям 53 по среднегодовому значению ЭРОА изотопов радона, если для них выполняется соотношение (19):

------------------------------

53 Подпункт 4.2.7 пункта 4.2 СанПиН 2.6.1.2800-10.

------------------------------

Бк/м 3.

(19)

Помещения производственных зданий и сооружений признаются соответствующими санитарно-эпидемиологическим требованиям 54 по среднегодовому значению ЭРОА изотопов радона, если для них выполняется соотношение (20):

------------------------------

54 Подпункт 3.2.3 пункта 3.2 СанПиН 2.6.1.2800-10.

------------------------------

Бк/м 3.

(20)

В противном случае помещения признаются несоответствующими санитарно-эпидемиологическим требованиям 55 по среднегодовому значению ЭРОА изотопов радона в воздухе.

------------------------------

55 Подпункт 3.2.3 пункта 3.2, подпункт 4.2.7 пункта 4.2 СанПиН 2.6.1.2800-10.

------------------------------

5.8. В случае проведения контроля ЭРОА изотопов радона в воздухе помещений в рамках мероприятий, срок проведения которых ограничен 56, измерения ЭРОА изотопов радона и ОА радона для определения среднегодового значения ЭРОА изотопов радона в воздухе помещений проводятся однократно в любой период года. Результаты измерений принимаются за . При этом максимальная продолжительность пробоотбора при проведении измерений (пп. 5.12 - 5.16) выбирается максимально возможной в рамках установленного срока проведения конкретного мероприятия. Интегральный метод измерений в этом случае не применяется.

------------------------------

56 Федеральный закон от 31.07.2020 N 248-ФЗ "О государственном контроле (надзоре) и муниципальном контроле в Российской Федерации"; часть 1 статьи 12 Федерального закона от 02.05.2006 N 59-ФЗ "О порядке рассмотрения обращений граждан Российской Федерации".

------------------------------

5.9. В общественных и производственных зданиях и сооружениях, в которых единственной системой вентиляции является механическая, измерения ЭРОА изотопов радона и ОА радона для определения среднегодового значения ЭРОА изотопов радона в воздухе помещений проводятся однократно в любой с период года. Результаты измерений принимаются за .

5.10. Измерения экспрессным методом не проводятся при открытых окнах, форточках, фрамугах, а также менее чем через 1 ч после окончания проветривания.

Измерения в помещениях проводятся на высоте 1 - 2 м от пола не ближе 0,5 м от стен помещения. При площади обследуемого помещения более 100 м 2 количество измерений увеличивается из расчета одно измерение на каждые 100 м 2.

Алгоритм контроля ЭРОА изотопов радона в воздухе помещений эксплуатируемых зданий с круглосуточным пребыванием людей

5.11. К эксплуатируемым зданиям с круглосуточным пребыванием людей относятся жилые здания, а также общественные и производственные здания или сооружения, в которых население проводит не менее 19 ч в сутки (на основании принятого значения доли времени, проводимой населением в помещениях, равного 0,8 57).

------------------------------

57 Подпункт 4.4.4 МР 2.6.1.0088-14 "Форма федерального статистического наблюдения N 4-ДОЗ. Сведения о дозах облучения населения за счет естественного и техногенно измененного радиационного фона", утвержденных врио руководителя Федеральной службы по надзору в сфере защиты прав потребителей и благополучия человека, Главного государственного санитарного врача Российской Федерации 18.03.2014 (далее - МР 2.6.1.0088-14).

------------------------------

5.12. ЭРОА изотопов радона в воздухе помещений определяется по результатам измерений одним из следующих методов:

экспрессным;

квазиинтегральным (с продолжительностью пассивного пробоотбора не менее 3 суток);

интегральным (с продолжительностью пробоотбора не менее 30 суток);

непрерывным (с продолжительностью пробоотбора не менее 3 суток).

Максимальная продолжительность пробоотбора ограничивается методикой измерений с помощью используемого средства измерений, при этом точность оценки ЭРОА радона возрастает с увеличением продолжительности пробоотбора.

5.13. Если по результатам измерений квазиинтегральным методом или непрерывным методом с продолжительностью пробоотбора от 3 до 6 суток в помещениях жилых и общественных зданий не выполняется соотношение (21):

Бк/м 3,

(21)

или в помещениях производственных зданий или сооружений не выполняется соотношение (22):

Бк/м 3,

(22)

то проводятся дополнительные измерения ОА радона интегральным методом (с продолжительностью пробоотбора не менее 30 суток), или непрерывным методом с помощью мониторов радона (с продолжительностью пробоотбора не менее 30 суток).

5.14. Если по результатам измерений экспрессным методом в помещениях жилых и общественных зданий не выполняется соотношение (21) или в помещениях производственных зданий или сооружений не выполняется соотношение (22), то проводятся повторные измерения ЭРОА изотопов радона экспрессным методом (не менее 3 измерений, проведенных в течение 3 дней в разное время с последующим усреднением полученных результатов), или ОА радона квазиинтегральным методом (с продолжительностью пассивного пробоотбора не менее 3 суток), или интегральным методом (с продолжительностью пробоотбора не менее 30 суток), или непрерывным методом с помощью мониторов радона (с продолжительностью пробоотбора не менее 3 суток).

5.15. Если по результатам повторных измерений экспрессным методом, или квазиинтегральным методом, или непрерывным методом с продолжительностью пробоотбора менее 30 суток в помещениях жилых и общественных зданий не выполняется соотношение (21) или в помещениях производственных зданий или сооружений не выполняется соотношение (22), то проводятся дополнительные измерения ОА радона интегральным методом (с продолжительностью пробоотбора не менее 30 суток), или непрерывным методом с помощью мониторов радона (с продолжительностью пробоотбора не менее 30 суток).

Алгоритм контроля ЭРОА изотопов радона в воздухе помещений эксплуатируемых зданий с некруглосуточным пребыванием людей

5.16. К эксплуатируемым зданиям с некруглосуточным пребыванием людей относятся общественные и производственные здания или сооружения, в которых население проводит менее 19 ч в сутки (на основании принятого значения доли времени, проводимой населением в помещениях, равного 0,8 58).

------------------------------

58 Подпункт 4.4.4 МР 2.6.1.0088-14.

------------------------------

5.17. ЭРОА изотопов радона в воздухе помещений определяется по результатам измерений экспрессным методом или непрерывным методом с помощью мониторов радона (с продолжительностью пробоотбора не менее 3 суток, приходящихся на рабочие дни; при этом для расчета средней ОА радона используются только результаты, полученные в рабочее время), проведенных в режиме нормальной (повседневной) эксплуатации здания или сооружения при штатном режиме работы механической системы вентиляции и (или) кондиционирования (при ее наличии), соблюдении кратности и времени проветривания, предписанных санитарными правилами 59.

------------------------------

59 Подпункты 2.7.2, 2.11.2 СП 2.4.3648-20 "Санитарно-эпидемиологические требования к организациям воспитания и обучения, отдыха и оздоровления детей и молодежи", утвержденных постановлением Главного государственного санитарного врача Российской Федерации от 28.09.2020 N 28 (зарегистрировано Минюстом России 18.12.2020, регистрационный N 61573) (далее - СП 2.4.3648-20).

------------------------------

5.18. Если по результатам измерений экспрессным методом в помещениях общественных зданий не выполняется соотношение (21) или в помещениях производственных зданий или сооружений не выполняется соотношение (22), то проводятся повторные измерения экспрессным методом (не менее 3 измерений, проведенных в течение 3 рабочих дней в разное рабочее время с последующим усреднением полученных результатов; в помещениях детских образовательных организаций как минимум одно из измерений проводится непосредственно перед проветриванием) или непрерывным методом (с продолжительностью пробоотбора не менее 3 суток, приходящихся на рабочие дни; при этом для расчета средней ОА радона используются только результаты, полученные в рабочее время).

5.19. В случае проведения первичных (скрининговых) обследований зданий или сооружений на содержание радона в воздухе помещений в качестве предварительной оценки используются результаты измерений ОА радона интегральным методом (с продолжительностью пробоотбора не менее 30 суток) в холодный период года. Если по результатам скринингового обследования здания или сооружения расчетное значение ЭРОА радона не превышает во всех обследованных помещениях установленный гигиенический норматив 60, то здание или сооружение признается соответствующим санитарно-эпидемиологическим требованиям 61 по среднегодовому значению ЭРОА изотопов радона в воздухе (надежность такой оценки гарантируется консервативностью результатов, получаемых этим методом).

------------------------------

60 Подпункт 3.2.3 пункта 3.2, подпункт 4.2.7 пункта 4.2 СанПиН 2.6.1.2800-10.

61 Подпункт 3.2.3 пункта 3.2, подпункт 4.2.7 пункта 4.2 СанПиН 2.6.1.2800-10.

------------------------------

5.20. Если по результатам скринингового обследования здания или сооружения расчетное значение ЭРОА радона превышает в отдельных помещениях установленный гигиенический норматив 62, то проводится дополнительное обследование здания или сооружения с использованием других методов измерений, позволяющих получить результаты измерений в рабочее время в режиме нормальной (повседневной) эксплуатации при штатном режиме работы механической системы вентиляции и (или) кондиционирования (при ее наличии), при соблюдении кратности и времени проветривания, в соответствии с санитарно-эпидемиологическими требованиями 63. ЭРОА изотопов радона в воздухе помещений определяется по результатам измерений экспрессным методом (не менее 3 измерений, проведенных в течение 3 рабочих дней в разное рабочее время с последующим усреднением полученных результатов; в помещениях детских образовательных организаций как минимум одно из измерений проводится непосредственно перед проветриванием) или непрерывным методом (с продолжительностью пробоотбора не менее 3 суток, приходящихся на рабочие дни; при этом для расчета средней ОА радона используются только результаты, полученные в рабочее время). Оценка соответствия помещений санитарно-эпидемиологическим требованиям 64 по среднегодовому значению ЭРОА изотопов радона в воздухе проводится согласно п. 5.7 настоящих МР.

------------------------------

62 Подпункт 3.2.3 пункта 3.2, подпункт 4.2.7 пункта 4.2 СанПиН 2.6.1.2800-10.

63 Подпункты 2.7.2, 2.11.2 СП 2.4.3648-20.

64 Подпункт 3.2.3 пункта 3.2, подпункт 4.2.7 пункта 4.2 СанПиН 2.6.1.2800-10.

------------------------------

5.21. В случае несоответствия помещений эксплуатируемых зданий и сооружений требованиям по среднегодовому значению ЭРОА изотопов радона в воздухе 65 в них проводятся мероприятия 66, после реализации которых проводится повторное обследование зданий и сооружений (пп. 5.7 - 5.20 настоящих МР).

------------------------------

65 Подпункт 3.2.3 пункта 3.2, подпункт 4.2.7 пункта 4.2 СанПиН 2.6.1.2800-10.

66 Подпункт 3.2.3 пункта 3.2, подпункт 4.2.7 пункта 4.2 СанПиН 2.6.1.2800-10.

------------------------------

VI. Радиационный контроль зданий и сооружений перед проведением капитального ремонта или реконструкции

6.1. В рамках радиационного контроля зданий и сооружений перед проведением капитального ремонта или реконструкции определяется факт соответствия или несоответствия текущих показателей радиационной безопасности санитарно-эпидемиологическим требованиям 67, установленным для зданий и сооружений целевого назначения (заложенного в проект назначения здания или сооружения (жилое, общественное, производственное) после окончания работ по капитальному ремонту или реконструкции, которое может не совпадать с исходным назначением), принимаемых в эксплуатацию после капитального ремонта или реконструкции, а также оценка категории производственных отходов, образующихся при производстве работ по капитальному ремонту или реконструкции зданий или сооружений, предусматривающих замену отдельных элементов строительных конструкций, в том числе несущих, согласно классификации, установленной в соответствии с санитарно-эпидемиологическими требованиями 68.

------------------------------

67 Подпункт 3.2.2 главы III, подпункт 4.2.6 пункта 4.2 СанПиН 2.6.1.2800-10.

68 Пункт 6.2 СанПиН 2.6.1.2800-10.

------------------------------

6.2. Контролируемыми показателями радиационной безопасности в зданиях и сооружениях перед проведением капитального ремонта или реконструкции являются:

среднегодовое значение ЭРОА изотопов радона в воздухе помещений (в случае наличия закрытого контура здания или сооружения);

плотность потока радона с поверхности грунта (в случае отсутствия закрытого контура здания или сооружения);

МАЭД гамма-излучения в помещениях и на прилегающей территории (при ее наличии).

6.3. В случае, если проект капитального ремонта или реконструкции здания или сооружения предусматривает замену отдельных элементов строительных конструкций, в том числе несущих, контролируемыми показателями радиационной безопасности также могут являться в оговоренных далее случаях эффективная удельная активность ПРН в материалах строительных конструкций, подлежащих замене, и уровни радиоактивного загрязнения поверхностей строительных конструкций, подлежащих замене.

6.4. До проведения радиационного контроля собственником здания или сооружения или иной уполномоченной к распоряжению имуществом организацией (заказчиком обследования) обеспечивается удаление из здания или сооружения всех известных ему (учтенных) ИИИ в соответствии с санитарно-эпидемиологическими требованиями 69, а также предоставляется организации, проводящей радиационный контроль, вся имеющаяся информация о характере предыдущего использования здания или сооружения с точки зрения радиационной безопасности.

------------------------------

69 Пункты 3.4 - 3.6 ОСПОРБ 99/2010.

------------------------------

6.5. Гамма-съемка помещений здания или сооружения с целью выявления неучтенных (утерянных) ИИИ, ЛРА и УРЗ в строительных конструкциях, а также радиационный контроль отдельных элементов строительных конструкций, в том числе несущих, подлежащих замене, с целью оценки категории производственных отходов, образующихся вследствие их демонтажа, согласно классификации, установленной в соответствии с санитарно-эпидемиологическими требованиями 70, проводится в соответствии с пп. 7.4 - 7.11 настоящих МР.

------------------------------

70 Глава VI СанПиН 2.6.1.2800-10.

------------------------------

6.6. В случае, если здание или сооружение ранее было отнесено согласно санитарно-эпидемиологическим требованиям 71 к радиационным объектам, радиационный контроль проводится с учетом характера предыдущей эксплуатации здания или сооружения и может включать дополнительные исследования (оценку уровней альфа- и бета-загрязнения поверхностей строительных конструкций в отдельных помещениях, где проводились работы с открытыми или закрытыми ИИИ, в контрольных точках, где по результатам гамма-съемки зафиксированы максимальные показания поисковых приборов), по результатам которых обращение с отходами, образующимися вследствие демонтажа отдельных элементов строительных конструкций здания или сооружения, в том числе несущих, при их замене, осуществляется собственником здания или сооружения или иной уполномоченной к распоряжению имуществом организацией (заказчиком обследования) в соответствии с санитарно-эпидемиологическими требованиями 72 и законодательством Российской Федерации 73.

------------------------------

71 Пункт 3.1 ОСПОРБ 99/2010.

72 НРБ-99/2009; ОСПОРБ 99/2010; глава V СанПиН 2.6.1.2891-11 "Требования радиационной безопасности при производстве, эксплуатации и выводе из эксплуатации (утилизации) медицинской техники, содержащей источники ионизирующего излучения", утвержденных постановлением Главного государственного санитарного врача Российской Федерации от 07.07.2011 N 91 (зарегистрировано Минюстом России 29.09.2011, регистрационный N 21925) (далее - СанПиН 2.6.1.2891-11).

73 Постановление Правительства Российской Федерации от 19.10.2012 N 1069 "О критериях отнесения твердых, жидких и газообразных отходов к радиоактивным отходам, критериях отнесения радиоактивных отходов к особым радиоактивным отходам и к удаляемым радиоактивным отходам и критериях классификации удаляемых радиоактивных отходов" (далее - постановление Правительства Российской Федерации от 19.10.2012 N 1069).

------------------------------

6.7. В случае проведения контроля радиоактивного загрязнения альфа- и бета-активными радионуклидами поверхностей строительных конструкций измерения проводятся в соответствии с пп. 7.13 - 7.16 настоящих МР.

6.8. Измерения МАЭД гамма-излучения на прилегающей к зданию или сооружению территории проводятся в соответствии с п. 4.3 настоящих МР.

6.9. Измерения МАЭД гамма-излучения в помещениях здания или сооружения проводятся в соответствии с пп. 4.4, 4.13 - 4.17 настоящих МР.

6.10. Измерения ЭРОА изотопов радона в воздухе помещений здания или сооружения перед капитальным ремонтом или реконструкцией проводятся при условии наличия закрытого контура здания или сооружения в помещениях, расположенных только на первом и цокольном (при его наличии) этаже.

6.11. Измерения ЭРОА изотопов радона в воздухе помещений проводятся экспрессным методом. Оценка верхней границы среднегодового значения ЭРОА изотопов радона в воздухе и суммарная неопределенность рассчитываются согласно п. 4.20 настоящих МР.

6.12. Минимальный объем контроля определяется по таблице 2.

Таблица 2

Минимальный объем контроля помещений зданий или сооружений перед капитальным ремонтом или реконструкцией

Общее количество расположенных на первом и цокольном (при его наличии) этаже квартир в многоквартирных жилых домах, помещений в одноквартирных жилых домах, общественных зданиях и производственных зданиях и сооружениях Доля обследуемых квартир (помещений) Минимальное количество обследуемых квартир (помещений)
Не более 10 50 % 2
Более 10 и не более 40 25 % 5
Более 40 и не более 250 10 % 10
Более 250 и не более 1000 5 % 25
Более 1000 2 % 50

6.13. Измерение в помещении проводится на высоте 1 - 2 м от пола не ближе 0,5 м от стен помещения. При площади обследуемого помещения более 100 м 2 количество измерений увеличивается из расчета одно измерение на каждые 100 м 2.

6.14. Если целевым назначением здания или сооружения является жилое или общественное, и по результатам измерений для всех помещений выполняется соотношение (8), или если целевым назначением здания или сооружения является производственное, и по результатам измерений для всех помещений выполняется соотношение (9), то помещения здания или сооружения соответствуют санитарно-эпидемиологическим требованиям 74 по среднегодовому значению ЭРОА изотопов радона, установленным для помещений зданий или сооружений целевого назначения.

------------------------------

74 Подпункт 3.2.2, подпункт 4.2.6 пункта 4.2 СанПиН 2.6.1.2800-10.

------------------------------

6.15. Измерения ППР с поверхности грунта проводятся в случае отсутствия закрытого контура здания или сооружения. Измерения проводятся в контрольных точках, расположенных по периметру здания или сооружения с шагом 10 м на грунтовых участках без покрытий (кроме газонного материала).

6.16. За величину ППР с поверхности грунта в пределах контура застройки здания или сооружения принимается среднее арифметическое значение результатов измерений во всех контрольных точках, рассчитываемое по формуле (23):

, мБк/(м 2·c),

(23)

где: R i, мБк/(м 2·c) - результат измерения ППР с поверхности грунта в i-той контрольной точке;

N - количество контрольных точек.

Стандартная неопределенность значения (среднеквадратическое отклонение по выборке) ? рассчитывается по формуле (24):

, мБк/(м 2·c).

(24)

6.17. Если целевым назначением здания или сооружения является жилое или общественное, и по результатам измерений ППР с поверхности грунта не выполняется соотношение (25):

мБк/(м 2·c),

(25)

или если целевым назначением здания или сооружения является производственное, и по результатам измерений ППР с поверхности грунта не выполняется соотношение (26):

мБк/(м 2·c),

(26)

то в проекте капитального ремонта или реконструкции предусматривается система защиты здания или сооружения от повышенного уровня радона 75, в том числе в соответствии с документами по стандартизации 76.

------------------------------

75 Подпункт 3.2.4 пункта 3.2, подпункт 4.2.2 пункта 4.2 СанПиН 2.6.1.2800-10.

76 СП 321.1325800.2017 "Здания жилые и общественные. Правила проектирования противорадоновой защиты", утвержденный приказом Минстроя России от 05.12.2017 N 1616/пр (далее - СП 321.1325800.2017).

------------------------------

6.18. В случае несоответствия помещений здания или сооружения санитарно-эпидемиологическим требованиям 77, установленным для помещений зданий или сооружений целевого назначения, по показателям радиационной безопасности, в проект капитального ремонта или реконструкции вносятся изменения, направленные на обеспечение выполнения санитарно-эпидемиологических требований 78, в том числе в соответствии с документами по стандартизации 79.

------------------------------

77 Подпункт 3.2.2, подпункт 4.2.6 пункта 4.2 СанПиН 2.6.1.2800-10.

78 Подпункт 3.2.2 пункта 3.2, подпункт 4.2.6 пункта 4.2 СанПиН 2.6.1.2800-10.

79 СП 321.1325800.2017.

------------------------------

VII. Радиационный контроль зданий и сооружений, предназначенных для сноса

7.1. Радиационный контроль зданий или сооружений, предназначенных для сноса, проводится с целью оценки категории производственных отходов, образующихся вследствие сноса зданий или сооружений, согласно классификации, установленной в соответствии с санитарно-эпидемиологическими требованиями 80.

------------------------------

80 Пункт 6.2 СанПиН 2.6.1.2800-10.

------------------------------

7.2. Контролируемыми показателями радиационной безопасности в зданиях и сооружениях, предназначенных для сноса, являются:

МАЭД гамма-излучения от строительных конструкций;

эффективная удельная активность ПРН в материалах строительных конструкций;

уровни радиоактивного загрязнения поверхностей строительных конструкций (в оговоренных далее случаях).

7.3. До проведения радиационного контроля собственником здания или сооружения или иной уполномоченной к распоряжению имуществом организацией (заказчиком обследования) обеспечивается удаление из здания или сооружения всех известных ему (учтенных) ИИИ в соответствии с санитарно-эпидемиологическими требованиями 81, а также предоставляется организации, проводящей радиационный контроль, вся имеющаяся информация о характере предыдущего использования здания или сооружения с точки зрения радиационной безопасности.

------------------------------

81 Пункты 3.4 - 3.6 ОСПОРБ 99/2010.

------------------------------

7.4. В здании или сооружении проводится сплошная поисковая гамма-съемка помещений с целью выявления неучтенных (утерянных) ИИИ, ЛРА и УРЗ в строительных конструкциях. Гамма-съемка проводится путем обхода всех помещений здания или сооружения по свободному маршруту при непрерывном наблюдении за показаниями поисковых приборов (гамма-радиометров или дозиметров-радиометров гамма-излучения в поисковом режиме работы) с постоянным прослушиванием звуковой сигнализации скорости счета импульсов (регистрируемых гамма-квантов).

7.5. При обнаружении в здании или сооружении неучтенных (утерянных) открытых или закрытых ИИИ их удаление из здания или сооружения и дальнейшее обращение с ними осуществляется организацией 82 в соответствии с санитарно-эпидемиологическими требованиями 83 и законодательством Российской Федерации 84.

------------------------------

82 Пункт 1.8 ОСПОРБ 99/2010.

83 ОСПОРБ 99/2010; НРБ-99/2009; глава V СанПиН 2.6.1.2891-11.

84 Постановление Правительства Российской Федерации от 19.10.2012 N 1069.

------------------------------

7.6. Измерения МАЭД гамма-излучения выполняются вплотную к поверхности конструкций здания или сооружения в контрольных точках, где по результатам гамма-съемки зафиксированы максимальные показания поисковых приборов.

7.7. ЛРА или УРЗ считается участок строительных конструкций здания или сооружения, где МАЭД гамма-излучения вплотную к поверхности конструкций превышает 0,6 мкЗв/ч. Если МАЭД гамма-излучения ни в одной из контрольных точек не превышает 0,6 мкЗв/ч, то считается, что ЛРА и УРЗ в строительных конструкциях отсутствуют.

7.8. Оконтуривание ЛРА и УРЗ выполняется по уровню МАЭД гамма-излучения вплотную к поверхности строительных конструкций 0,6 мкЗв/ч. Если МАЭД гамма-излучения вплотную к поверхности строительных конструкций в пределах ЛРА или УРЗ превышает 1,0 мкЗв/ч, то дальнейшие работы по отбору проб не проводятся, а участок ЛРА или УРЗ огораживается для исключения доступа посторонних лиц 85. Детализация и ликвидация (дезактивация) ЛРА или УРЗ осуществляется в соответствии с санитарно-эпидемиологическими требованиями 86.

------------------------------

85 Пункт 5.4 МР 2.6.1.0050-11.

86 Пункт 1.8, подпункт 3.11.7 пункта 3.11 ОСПОРБ 99/2010.

------------------------------

7.9. Если МАЭД гамма-излучения вплотную к поверхности строительных конструкций в пределах ЛРА или УРЗ не превышает 1,0 мкЗв/ч, то на участке ЛРА или УРЗ проводится отбор проб материала строительных конструкций из точек с максимальными значениями МАЭД гамма-излучения для определения радионуклидного состава ЛРА или УРЗ и ее гигиенической оценки в соответствии с санитарно-эпидемиологическими требованиями 87.

------------------------------

87 Подпункты 3.11.4, 3.11.5, 3.11.8, 3.11.9 пункта 3.11, подпункт 5.2.9 пункта 5.2 ОСПОРБ 99/2010; пункты 6.1 - 6.10 СанПиН 2.6.1.2800-10.

------------------------------

Если при отборе проб зафиксирован рост МАЭД гамма-излучения по мере заглубления в материал, выполняется отбор проб материала с глубины, на которой зафиксированы максимальные значения МАЭД гамма-излучения. Если МАЭД гамма-излучения после снятия очередного слоя достигает 1,0 мкЗв/ч, то отбор проб прекращается, а участок ЛРА или УРЗ огораживается для исключения доступа посторонних лиц. Дальнейшее обращение с производственными отходами из материала на участке ЛРА, содержащими только ПРН, осуществляется в соответствии с санитарно-эпидемиологическими требованиями 88 на основании результатов определения эффективной удельной активности ПРН в отобранных пробах материала. При обнаружении по результатам спектрометрического исследования отобранных проб материала техногенных радионуклидов с удельными активностями, превышающими соответствующие минимально значимые удельные активности 89, участок классифицируется как УРЗ и при необходимости привлекается лицензированная организация 90.

------------------------------

88 Подпункт 5.2.9 пункта 5.2 ОСПОРБ 99/2010; пункты 6.1 - 6.10 СанПиН 2.6.1.2800-10.

89 Приложение 4 НРБ-99/2009.

90 Пункт 1.8 ОСПОРБ 99/2010.

------------------------------

7.10. После ликвидации выявленных ЛРА или УРЗ проводится повторное обследование помещений, в которых они были обнаружены, в соответствии с пп. 7.4 - 7.9 настоящих МР.

7.11. В случае отсутствия в строительных конструкциях здания или сооружения ЛРА и УРЗ проводится отбор проб основных материалов строительных конструкций, в том числе несущих, из контрольных точек, где по результатам гамма-съемки зафиксированы максимальные показания поисковых приборов. Дальнейшее обращение с производственными отходами из материалов строительных конструкций, содержащих только ПРН, осуществляется в соответствии с санитарно-эпидемиологическими требованиями 91 на основании результатов определения эффективной удельной активности ПРН в отобранных пробах материалов.

------------------------------

91 Подпункт 5.2.9 пункта 5.2 ОСПОРБ 99/2010; пункты 6.1 - 6.10 СанПиН 2.6.1.2800-10.

------------------------------

7.12. В случае, если здание или сооружение, предназначенное для сноса, ранее было отнесено согласно санитарно-эпидемиологическим требованиям 92 к радиационным объектам, радиационный контроль проводится с учетом характера предыдущей эксплуатации здания или сооружения и может включать дополнительные исследования (оценку уровней альфа- и бета-загрязнения поверхностей строительных конструкций в отдельных помещениях, где проводились работы с открытыми или закрытыми ИИИ, в контрольных точках, где по результатам гамма-съемки зафиксированы максимальные показания поисковых приборов). По результатам этих исследований обращение с отходами, образовавшимися вследствие сноса здания или сооружения, осуществляется в соответствии с санитарно-эпидемиологическими требованиями 93 и законодательством Российской Федерации 94 собственником здания или сооружения или иной уполномоченной к распоряжению имуществом организацией (заказчиком обследования) с привлечением при необходимости для детализации и ликвидации (дезактивации) УРЗ в соответствии с санитарно-эпидемиологическими требованиями 95.

------------------------------

92 Пункт 3.1 ОСПОРБ 99/2010.

93 НРБ-99/2009; ОСПОРБ 99/2010; СанПиН 2.6.1.2800-10; глава V СанПиН 2.6.1.2891-11.

94 Постановление Правительства Российской Федерации от 19.10.2012 N 1069.

95 Пункт 1.8 ОСПОРБ 99/2010.

------------------------------

7.13. В случае проведения контроля радиоактивного загрязнения альфа- и бета-активными радионуклидами поверхностей строительных конструкций используется приборный разностный метод определения снимаемого (нефиксированного) поверхностного загрязнения 96, а измерения проводятся в два этапа.

------------------------------

96 Глава 8 МУ 2.6.5.032-2017 "Контроль радиоактивного загрязнения поверхностей", утвержденных заместителем руководителя ФМБА России, Главным государственным санитарным врачом по обслуживаемым организациям и обслуживаемым территориям 05.05.2017 (далее - МУ 2.6.5.032-2017).

------------------------------

7.14. На первом этапе с помощью соответствующего радиометра (альфа- или бета-излучения) выполняется определение уровня общего (снимаемого и неснимаемого) поверхностного загрязнения. В каждой точке проводится не менее трех измерений поверхностной активности, среднее арифметическое которых принимается за результат определения уровня общего поверхностного загрязнения. В случае, если уровень общего поверхностного загрязнения не превышает установленный норматив 97, то второй этап измерений не проводится, поскольку уровень снимаемого поверхностного загрязнения заведомо не превысит установленный норматив 98.

------------------------------

97 Подпункт 3.11.2 пункта 3.11 ОСПОРБ 99/2010.

98 Подпункт 3.11.2 пункта 3.11 ОСПОРБ 99/2010.

------------------------------

7.15. На втором этапе в точках измерения проводится тщательная протирка участка поверхности размером не менее 0,1 х 0,1 м марлевыми (ватными) тампонами (сухими или влажными) с целью возможно полного удаления снимаемого загрязнения. Затем с помощью соответствующего радиометра (альфа или бета-излучения) выполняется определение уровня неснимаемого (фиксированного) поверхностного загрязнения. В каждой точке проводится не менее трех измерений поверхностной активности, среднее арифметическое которых принимается за результат определения уровня неснимаемого поверхностного загрязнения. Уровень снимаемого поверхностного загрязнения определяется как разность результатов определения общего и неснимаемого загрязнения с поправкой на коэффициент снятия мазка по формуле (27):

, Бк/см 2,

(27)

где: Q СН, Бк/см 2 - уровень снимаемого поверхностного загрязнения;

Q общ, Бк/см 2 - уровень общего поверхностного загрязнения;

Q НС, Бк/см 2 - уровень неснимаемого поверхностного загрязнения;

K М, отн. ед. - коэффициент снятия мазка, значение которого принимается по таблице 3 99.

------------------------------

99 Пункт 7.4 МУ 2.6.5.032-2017.

------------------------------

Таблица 3

Коэффициенты снятия мазка с различных материалов

Метод снятия мазка Коэффициент снятия мазка K М, отн. ед.
Сухой мазок 0,2
Мазок тампоном, смоченным водой или этиловым спиртом 0,4
Мазок тампоном, увлажненным азотной кислотой с концентрацией 1 - 1,5 моль/л (6,5 - 9,0 %) 0,8
Последовательно двумя тампонами, увлажненными азотной кислотой с концентрацией 1 - 1,5 моль/л (6,5 - 9,0 %), и затем сухим тампоном 0,9 - 1,0

7.16. В случае превышения установленных нормативов снимаемого поверхностного загрязнения в помещении проводятся дезактивационные работы 100 и повторный радиационный контроль в соответствии с пп. 7.13 - 7.15 настоящих МР.

------------------------------

100 Подпункт 3.4.10 пункта 3.4 ОСПОРБ 99/2010.

------------------------------

Библиографические ссылки

1. Федеральный закон от 30.03.1999 N 52-ФЗ "О санитарно-эпидемиологическом благополучии населения".

2. Федеральный закон от 09.01.1996 N 3-ФЗ "О радиационной безопасности населения".

3. Федеральный закон от 31.07.2020 N 248-ФЗ "О государственном контроле (надзоре) и муниципальном контроле в Российской Федерации".

4. Федеральный закон от 02.05.2006 N 59-ФЗ "О порядке рассмотрения обращений граждан Российской Федерации".

5. Федеральный закон от 26.06.2008 N 102-ФЗ "Об обеспечении единства измерений".

6. Федеральный закон от 27.12.2002 N 184-ФЗ "О техническом регулировании".

7. Федеральный закон от 29.12.2012 N 273-ФЗ "Об образовании в Российской Федерации".

8. Федеральный закон от 30.12.2009 N 384-ФЗ "Технический регламент о безопасности зданий и сооружений".

9. Федеральный закон от 28.12.2013 N 412-ФЗ "Об аккредитации в национальной системе аккредитации".

10. Градостроительный кодекс Российской Федерации от 29.12.2004 N 190-ФЗ.

11. Постановление Правительства Российской Федерации от 19.10.2012 N 1069 "О критериях отнесения твердых, жидких и газообразных отходов к радиоактивным отходам, критериях отнесения радиоактивных отходов к особым радиоактивным отходам и к удаляемым радиоактивным отходам и критериях классификации удаляемых радиоактивных отходов".

12. СанПиН 1.2.3685-21 "Гигиенические нормативы и требования к обеспечению безопасности и (или) безвредности для человека факторов среды обитания".

13. СанПиН 2.6.1.2523-09 "Нормы радиационной безопасности (НРБ99/2009)".

14. СП 2.4.3648-20 "Санитарно-эпидемиологические требования к организациям воспитания и обучения, отдыха и оздоровления детей и молодежи".

15. СП 2.6.1.2612-10 "Основные санитарные правила обеспечения радиационной безопасности (ОСПОРБ 99/2010)".

16. СанПиН 2.6.1.2800-10 "Гигиенические требования по ограничению облучения населения за счет природных источников ионизирующего излучения".

17. СанПиН 2.6.1.2891-11 "Требования радиационной безопасности при производстве, эксплуатации и выводе из эксплуатации (утилизации) медицинской техники, содержащей источники ионизирующего излучения".

18. МУ 2.6.1.2398-08 "Радиационный контроль и санитарно-эпидемиологическая оценка земельных участков под строительство жилых домов, зданий и сооружений общественного и производственного назначения в части обеспечения радиационной безопасности".

19. МУ 2.6.5.032-2017 "Контроль радиоактивного загрязнения поверхностей".

20. МР 2.6.1.0050-11 "Санитарно-гигиенические требования к мероприятиям по ликвидации последствий радиационной аварии".

21. МР 2.6.1.0088-14 "Форма федерального статистического наблюдения N 4-ДОЗ. Сведения о дозах облучения населения за счет естественного и техногенно измененного радиационного фона".

22. ГОСТ 8.638 "Государственная система обеспечения единства измерений. Метрологическое обеспечение радиационного контроля. Основные положения".

23. ГОСТ 25100 "Грунты. Классификация".

24. ГОСТ 34100.3 "Неопределенность измерения. Часть 3. Руководство по выражению неопределенности измерения".

25. ГОСТ Р ИСО 6707-1 "Здания и сооружения. Общие термины".

26. СП 54.13330.2022 "СНиП 31-01-2003 Здания жилые многоквартирные".

27. СП 55.13330.2016 "СНиП 31-02-2001 Дома жилые одноквартирные".

28. СП 56.13330.2021 "СНиП 31-03-2001 Производственные здания".

29. СП 118.13330.2022 "СНиП 3106-2009 Общественные здания и сооружения".

30. СП 131.13330.2012 "Строительная климатология. Актуализированная версия СНиП 23-01-99".

31. СП 321.1325800.2017 "Здания жилые и общественные. Правила проектирования противорадоновой защиты".

32. СП 476.1325800.2020 "Территории городских и сельских поселений. Правила планировки, застройки и благоустройства жилых микрорайонов".

33. СП 502.1325800.2021 "Инженерно-экологические изыскания для строительства. Общие правила производства работ".

34. Комментарии к Нормам радиационной безопасности (НРБ-99/2009) / под ред. академика РАМН Г.Г. Онищенко. - СПб., 2012. - 216 с.

35. А.С. Васильев, И.К. Романович, Д.В. Кононенко, Т.А. Кормановская, К.А. Сапрыкин, Т.А. Балабина. Обоснование методических подходов к контролю содержания радона в воздухе помещений эксплуатируемых общественных зданий с некруглосуточным пребыванием людей. Радиационная гигиена. - 2021. - Т. 14, N 3. - С. 29 - 40.

36. Т.А. Кормановская, Д.В. Кононенко, К.А. Сапрыкин, А.С. Васильев, Н.А. Королева, Е.С. Кокоулина, Т.А. Балабина, И.Г. Матвеева. Контроль показателей радиационной безопасности зданий и сооружений, подлежащих сносу. Радиационная гигиена. - 2022. - Т. 15, N 2. - С. 42 - 51.

37. Chen J., Harley N.H. A review of indoor and outdoor radon equilibrium factors - Part I: 222Rn. Health Physics. - 2018. - Vol. 115, nr 4. - P. 490 - 499.

Справочная информация

В настоящих МР используются следующие термины и определения:

Амбиентный эквивалент дозы гамма-излучения - эквивалент дозы, который был создан в шаровом фантоме Международной комиссии по радиационным единицам на глубине d (мм) от поверхности по диаметру, параллельному направлению излучения, в поле излучения, идентичном рассматриваемому по составу, флюенсу и энергетическому распределению, но мононаправленном и однородном, то есть амбиентный эквивалент дозы Н*(d) - это доза, которую получил бы человек, если бы он находился на месте, где проводится измерение. Мощность амбиентного эквивалента дозы является приемлемой оценкой мощности эффективной дозы для целей обеспечения радиационной безопасности.

Закрытый контур (здания или сооружения) - совокупность строительных конструкций, включающая фундамент, наружные стены, перекрытия, крышу (кровлю), двери и окна.

Здание - результат строительства, представляющий собой объемную строительную систему, имеющую надземную и (или) подземную части, включающую в себя помещения, сети инженерно-технического обеспечения и системы инженерно-технического обеспечения и предназначенную для проживания и (или) деятельности людей, размещения производства, хранения продукции или содержания животных 101.

------------------------------

101 Пункт 6 части 2 статьи 2, подпункт 6 Федерального закона от 30.12.2009 N 384-ФЗ.

------------------------------

Здание жилое - здание, предназначенное для проживания 102.

------------------------------

102 Пункт 3.1.4.1 ГОСТ Р ИСО 6707-1 "Здания и сооружения. Общие термины", введенного приказом Росстандарта от 24.12.2020 N 1388-ст.

------------------------------

Здание общественное - здание, предназначенное для обеспечения общественных функций за счет размещения в нем учреждений, предприятий, организаций, предоставляющих услуги (обслуживание) населению 103.

------------------------------

103 Пункт 3.1.9 СП 118.13330.2022.

------------------------------

Изотопы радона - радионуклиды 222Rn (радон) и 220Rn (Tn, торон) природных семейств 238U и 232Th соответственно.

Капитальный ремонт объектов капитального строительства (за исключением линейных объектов) - замена и (или) восстановление строительных конструкций объектов капитального строительства или элементов таких конструкций, за исключением несущих строительных конструкций, замена и (или) восстановление систем инженерно-технического обеспечения и сетей инженерно-технического обеспечения объектов капитального строительства или их элементов, а также замена отдельных элементов несущих строительных конструкций на аналогичные или иные улучшающие показатели таких конструкций элементы и (или) восстановление указанных элементов 104.

------------------------------

104 Пункт 14.2 статьи 1 Градостроительного кодекса Российской Федерации от 29.12.2004 N 190-ФЗ.

------------------------------

Короткоживущие дочерние продукты радона (ДПР) и торона (ДПТ) - изотопы 218Po (RaA), 214Pb (RaB), 214Bi (RaC) и 212Pb (ThB), 212Bi (ThC) соответственно.

Коэффициент равновесия F - коэффициент, характеризующий сдвиг радиоактивного равновесия между изотопом радона и его короткоживущими дочерними продуктами распада в воздухе, равный отношению ЭРОА к ОА. В состоянии радиоактивного равновесия равен единице.

Локальная радиационная аномалия (ЛРА) и Участок радиоактивного загрязнения (УРЗ) - ограниченная зона на поверхности ограждающих конструкций здания или сооружения, в границах которой МАЭД гамма-излучения вплотную к поверхности конструкций превышает следующие значения:

- + + 0,3 мкЗв/ч в помещениях жилых и общественных зданий, вводимых в эксплуатацию после окончания строительства, капитального ремонта, реконструкции;

- 0,6 мкЗв/ч во всех остальных случаях.

Причиной возникновения ЛРА является повышенное содержание природных радионуклидов в материалах строительных конструкций, а УРЗ - присутствие в них техногенных радионуклидов, в том числе в виде открытых или закрытых ИИИ.

Классификация ЛРА на прилегающей территории осуществляется в соответствии с действующими методическими указаниями по радиационному контролю и санитарно-эпидемиологической оценке земельных участков под строительство зданий и сооружений в части обеспечения радиационной безопасности 105.

------------------------------

105 МУ 2.6.1.2398-08.

------------------------------

Объемная активность (ОА) радона (торона) - активность радона (торона) в одном кубическом метре воздуха. Единица измерения - Бк/м 3.

Покрытие - слой из твердого, мягкого или газонного материала, устраиваемый поверх грунта при благоустройстве прилегающей территории.

Помещение - часть объема здания или сооружения, имеющая определенное назначение и ограниченная строительными конструкциями 106.

------------------------------

106 Пункт 14 части 2 статьи 2 Федерального закона от 30.12.2009 N 384-ФЗ.

------------------------------

Прилегающая территория - территория общего пользования, которая прилегает к зданию, строению, сооружению, земельному участку в случае, если такой земельный участок образован, и границы которой определены правилами благоустройства территории муниципального образования в соответствии с законодательством Российской Федерации 107.

------------------------------

107 Часть 37 статьи 1 Градостроительного кодекса Российской Федерации от 29.12.2004 N 190-ФЗ.

------------------------------

Радиационный контроль - получение информации о показателях радиационной безопасности объектов среды обитания людей и окружающей среды (например, зданий, сооружений, строительных материалов и конструкций, производственных отходов, территорий, грунтов).

Реконструкция объектов капитального строительства (за исключением линейных объектов) - изменение параметров объекта капитального строительства, его частей (высоты, количества этажей, площади, объема), в том числе надстройка, перестройка, расширение объекта капитального строительства, а также замена и (или) восстановление несущих строительных конструкций объекта капитального строительства, за исключением замены отдельных элементов таких конструкций на аналогичные или иные улучшающие показатели таких конструкций элементы и (или) восстановления указанных элементов 108.

------------------------------

108 Часть 14 статьи 1 Градостроительного кодекса Российской Федерации от 29.12.2004 N 190-ФЗ.

------------------------------

Снос объекта капитального строительства - ликвидация объекта капитального строительства путем его разрушения (за исключением разрушения вследствие природных явлений либо противоправных действий третьих лиц), разборки и (или) демонтажа объекта капитального строительства, в том числе его частей 109.

------------------------------

109 Часть 14.4 статьи 1 Градостроительного кодекса Российской Федерации от 29.12.2004 N 190-ФЗ.

------------------------------

Сооружение - результат строительства, представляющий собой объемную, плоскостную или линейную строительную систему, имеющую наземную, надземную и (или) подземную части, состоящую из несущих, а в отдельных случаях и ограждающих строительных конструкций и предназначенную для выполнения производственных процессов различного вида, хранения продукции, временного пребывания людей, перемещения людей и грузов 110.

------------------------------

110 Пункт 23 части 2 статьи 2 Федерального закона от 30.12.2009 N 384-ФЗ.

------------------------------

Стояк - совокупность квартир в отдельном подъезде (секции) многоквартирного жилого дома, расположенных строго одна над другой на всех этажах.

Строительная конструкция - часть здания или сооружения, выполняющая определенные несущие, ограждающие и (или) эстетические функции 111.

------------------------------

111 Пункт 24 части 2 статьи 2 Федерального закона от 30.12.2009 N 384-ФЗ.

------------------------------

Строительство - создание зданий, строений, сооружений (в том числе на месте сносимых объектов капитального строительства) 112.

------------------------------

112 Часть 13 статьи 1 Градостроительного кодекса Российской Федерации от 29.12.2004 N 190-ФЗ.

------------------------------

Теплый период года - период года, характеризуемый среднесуточной температурой наружного воздуха выше плюс 10 °C.

Холодный период года - период года, характеризуемый среднесуточной температурой наружного воздуха равной плюс 10 °C и ниже.

Целевое назначение - заложенное в проект назначение здания или сооружения (жилое, общественное, производственное) после окончания работ по капитальному ремонту или реконструкции, которое может не совпадать с исходным назначением.

Эквивалентная равновесная объемная активность (ЭРОА) радона (торона) - взвешенная сумма объемных активностей короткоживущих дочерних продуктов распада радона (торона) в неравновесной смеси, равная объемной активности радона (торона) в состоянии равновесия с его дочерними продуктами распада, при которой суммарная энергия альфа-излучения, выделяемая при распаде всех дочерних продуктов (скрытая энергия), имеет такую же величину, как и для данной неравновесной смеси. Единица измерения - Бк/м 3.

Эквивалентная равновесная объемная активность (ЭРОА) изотопов радона C - суммарная ЭРОА радона и торона, определяемая с учетом их вклада в эффективную дозу облучения по формуле (1). Единица измерения - Бк/м 3.

Эффективная удельная активность природных радионуклидов А эфф - это интегральная характеристика внешнего гамма-излучения материальных сред, учитывающая удельный вклад содержащихся в ней природных радионуклидов в мощность дозы гамма-излучения и определяемая по формуле (28):

, Бк/кг

(28)

в которой суммирование ведется по всем гамма-излучающим радионуклидам природных рядов 238U и 235U (первое слагаемое), 232Th (второе слагаемое) и 40K (третье слагаемое), а коэффициенты k i учитывают относительный вклад гамма-излучения каждого из природных радионуклидов во внешнее гамма-излучение материала с данным содержанием природных радионуклидов. В условиях радиоактивного равновесия в рядах 238U и 232Th значение А эфф рассчитывается по формуле (2).


Обзор документа

Обновлены рекомендации по радиационному контролю и санитарно-эпидемиологической оценке жилых, общественных и производственных зданий и сооружений по показателям радиационной безопасности.

Мероприятия реализуются на различных этапах жизненного цикла объектов начиная с ввода в эксплуатацию и заканчивая сносом.

Для просмотра актуального текста документа и получения полной информации о вступлении в силу, изменениях и порядке применения документа, воспользуйтесь поиском в Интернет-версии системы ГАРАНТ:
Мы обрабатываем локальные данные браузера и используем инструменты аналитики в целях улучшения и обеспечения работоспособности сайта, статистических исследований и обзоров. Вы можете запретить обработку указанных данных в настройках браузера. Пожалуйста, ознакомьтесь с условиями их обработки.